| ²é¿´: 1343 | »Ø¸´: 8 | ||
cosmology½ð³æ (ÕýʽдÊÖ)
|
[ÇóÖú]
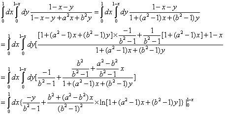
ËãÒ»¸öË«ÖØ»ý·Ö(By hand)
|
|
|
|
||
zhimengfanͳæ (СÓÐÃûÆø)
|
||
|
2Â¥2012-04-23 18:38:23
|
|
|
|
¡ï ¡ï ¡ï ¡ï ¡ï ¡ï ¡ï ¡ï ¡ï ¡ï
¸Ðл²ÎÓ룬ӦÖúÖ¸Êý +1 cosmology: ½ð±Ò+10, ¡ïÓаïÖú 2012-04-23 21:27:51
|
||
|
3Â¥2012-04-23 19:10:23
|
|
|
cosmology½ð³æ (ÕýʽдÊÖ)
|
||
|
4Â¥2012-04-23 21:40:51
|
|
|
cosmology½ð³æ (ÕýʽдÊÖ)
|
||
|
5Â¥2012-04-23 21:51:52
|
|
|
|
||
|
6Â¥2012-04-23 21:55:08
|
|
|
cosmology½ð³æ (ÕýʽдÊÖ)
|
||
|
7Â¥2012-04-23 22:00:26
|
|
|
vectÖÁ×ðľ³æ (ÖøÃûдÊÖ)
|
||
|
8Â¥2012-04-23 23:56:07
|
|
|
vectÖÁ×ðľ³æ (ÖøÃûдÊÖ)
|
¡¾´ð°¸¡¿Ó¦Öú»ØÌû
¡ï ¡ï ¡ï ¡ï ¡ï ¡ï ¡ï ¡ï ¡ï ¡ï ¡ï ¡ï ¡ï ¡ï ¡ï ¡ï ¡ï ¡ï ¡ï ¡ï ¡ï ¡ï ¡ï ¡ï ¡ï ¡ï ¡ï ¡ï ¡ï ¡ï ¡ï ¡ï ¡ï ¡ï ¡ï ¡ï ¡ï ¡ï ¡ï ¡ï ¡ï ¡ï ¡ï ¡ï ¡ï ¡ï ¡ï ¡ï ¡ï ¡ï ¡ï ¡ï ...
¸Ðл²ÎÓ룬ӦÖúÖ¸Êý +1 cosmology: ½ð±Ò+90, ¡ï¡ï¡ïºÜÓаïÖú 2012-04-24 08:48:29
» ±¾Ìû¸½¼þ×ÊÔ´Áбí
2012-04-24 00:02:33, 19.5 K
|
|
|
9Â¥2012-04-24 00:02:40
|
|














»Ø¸´´ËÂ¥