版块导航
正在加载中...
客户端APP下载
论文辅导
调剂小程序
登录
注册
帖子
帖子
用户
本版
应《网络安全法》要求,自2017年10月1日起,未进行实名认证将不得使用互联网跟帖服务。为保障您的帐号能够正常使用,请尽快对帐号进行手机号验证,感谢您的理解与支持!
24小时热门版块排行榜
>
论坛更新日志
(1467)
>
虫友互识
(83)
>
导师招生
(34)
>
休闲灌水
(22)
>
文献求助
(19)
>
硕博家园
(15)
>
考博
(14)
>
考研
(12)
>
论文道贺祈福
(10)
>
论文投稿
(10)
>
博后之家
(9)
>
教师之家
(8)
>
找工作
(8)
>
公派出国
(8)
>
基金申请
(7)
>
复合材料
(1)
小木虫论坛-学术科研互动平台
»
专业学科区
»
数学
»
工科数学
»
求助一个复杂积分
6
1/1
返回列表
查看: 1015 | 回复: 5
只看楼主
@他人
存档
新回复提醒
(忽略)
收藏
在APP中查看
suntht
木虫
(小有名气)
应助: 0
(幼儿园)
金币: 3221.1
帖子: 200
在线: 22.5小时
虫号: 442567
注册: 2007-10-27
专业: 零件加工制造
[
求助
]
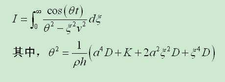
求助一个复杂积分
下面这个积分怎么算?
snap.jpg
回复此楼
» 猜你喜欢
售SCI一区文章,我:8 O5 51O 54,科目齐全,可+急
已经有4人回复
售SCI一区文章,我:8 O5 51O 54,科目齐全,可+急
已经有5人回复
售SCI一区文章,我:8 O5 51O 54,科目齐全,可+急
已经有5人回复
售SCI一区文章,我:8 O5 51O 54,科目齐全,可+急
已经有4人回复
售SCI一区文章,我:8 O5 51O 54,科目齐全,可+急
已经有10人回复
球磨粉体时遇到了大的问题,请指教!
已经有13人回复
情人节自我反思:在爱情中有过遗憾吗?
已经有5人回复
售SCI一区文章,我:8 O5 51O 54,科目齐全,可+急
已经有6人回复
售SCI一区文章,我:8 O5 51O 54,科目齐全,可+急
已经有8人回复
江汉大学解明教授课题组招博士研究生/博士后
已经有3人回复
» 本主题相关价值贴推荐,对您同样有帮助:
求助一个关于计算磁阻的定积分
已经有4人回复
求助大神解算一个三重积分(柱面积分)
已经有17人回复
求助一个积分转换问题+把ln换算到积分号里面
已经有4人回复
Matlab数值积分结果是虚数
已经有6人回复
一个金属的无机化学推断题比较复杂~求助大神
已经有8人回复
求助:关于运算复杂度的计算,谢谢大家了!
已经有3人回复
求一个mathmetica的程序
已经有10人回复
一个简单的式子,却算不正确
已经有10人回复
mathematica请教计算结果问题
已经有4人回复
求助高中数学一题
已经有3人回复
一个复杂式子的MATLAB解算
已经有8人回复
【求助】用mathematica 5.0求解一个非线性方程组失败,特发帖求助!
已经有5人回复
【求助】请教一个matlab程序,谢谢帮忙!!
已经有15人回复
【求助】DSC求焓算峰面积时的坐标单位是什么?
已经有24人回复
【求助】液相色谱分析老是出现一个杂质峰,清洗了很多次了也没效果!
已经有17人回复
【求助】如何在Word里输入一个好看的积分符号?
已经有24人回复
【求助】如何查询一个药品的原研厂家?
已经有10人回复
【求助】请教高手关于核磁谱中积分的一个问题
已经有10人回复
【求助】一个二重积分问题【已解决】
已经有17人回复
【求助】只知道有限个函数值求积分
已经有10人回复
【求助】maple的一个积分问题
已经有8人回复
1楼
2013-10-17 14:51:52
已阅
回复此楼
关注TA
给TA发消息
送TA红花
TA的回帖
feixiaolin
荣誉版主
(文坛精英)
专家经验: +518
应助: 942
(博后)
贵宾: 1.275
金币: 3430
散金: 58785
红花: 532
沙发: 11
帖子: 24215
在线: 2601.8小时
虫号: 2139575
注册: 2012-11-21
专业: 光学信息获取与处理
管辖:
数学
【答案】应助回帖
★ ★ ★ ★ ★
感谢参与,应助指数 +1
suntht: 金币+5,
★★★
很有帮助, 谢谢
2013-10-21 09:15:39
zeta的偶函数,等于 0.5 倍正负无穷大之间的积分。
带入参数,用matlab的roots函数求出分母的四个根,对做因式分解。
取上半面的奇点的留数,应用留数法求解即成。
赞
一下
回复此楼
2楼
2013-10-17 16:11:12
已阅
回复此楼
关注TA
给TA发消息
送TA红花
TA的回帖
suntht
木虫
(小有名气)
应助: 0
(幼儿园)
金币: 3221.1
帖子: 200
在线: 22.5小时
虫号: 442567
注册: 2007-10-27
专业: 零件加工制造
引用回帖:
2楼
:
Originally posted by
feixiaolin
at 2013-10-17 16:11:12
zeta的偶函数,等于 0.5 倍正负无穷大之间的积分。
带入参数,用matlab的roots函数求出分母的四个根,对做因式分解。
取上半面的奇点的留数,应用留数法求解即成。
这个积分的困难在于:cos(theta*t)中theta是xi的函数。
留数在定积分中的应用给出的三种类型里似乎不包含这种情况啊
赞
一下
回复此楼
3楼
2013-10-17 17:19:29
已阅
回复此楼
关注TA
给TA发消息
送TA红花
TA的回帖
feixiaolin
荣誉版主
(文坛精英)
专家经验: +518
应助: 942
(博后)
贵宾: 1.275
金币: 3430
散金: 58785
红花: 532
沙发: 11
帖子: 24215
在线: 2601.8小时
虫号: 2139575
注册: 2012-11-21
专业: 光学信息获取与处理
管辖:
数学
取z=r*exp(i*theta),只要[0, pi]之间积分的结果在R趋于无穷时为零即可。
赞
一下
回复此楼
4楼
2013-10-17 17:36:34
已阅
回复此楼
关注TA
给TA发消息
送TA红花
TA的回帖
feixiaolin
荣誉版主
(文坛精英)
专家经验: +518
应助: 942
(博后)
贵宾: 1.275
金币: 3430
散金: 58785
红花: 532
沙发: 11
帖子: 24215
在线: 2601.8小时
虫号: 2139575
注册: 2012-11-21
专业: 光学信息获取与处理
管辖:
数学
我又看了一下,4楼的要求不满足。
故还是不能用留数法求解。
你就数值解吧。
赞
一下
回复此楼
5楼
2013-10-17 22:11:47
已阅
回复此楼
关注TA
给TA发消息
送TA红花
TA的回帖
埃尔多安
银虫
(正式写手)
应助: 1
(幼儿园)
金币: 391.3
散金: 45
红花: 2
帖子: 428
在线: 83.9小时
虫号: 2531163
注册: 2013-07-03
专业: 金融学
我终于知道为什么苏步青方面做了一万道积分题了!
[ 发自小木虫客户端 ]
赞
一下
回复此楼
续。
6楼
2013-10-19 00:18:33
已阅
回复此楼
关注TA
给TA发消息
送TA红花
TA的回帖
相关版块跳转
数理科学综合
机械
物理
数学
农林
食品
地学
能源
信息科学
土木建筑
航空航天
转基因
我要订阅楼主
suntht
的主题更新
6
1/1
返回列表
如果回帖内容含有宣传信息,请如实选中。否则帐号将被全论坛禁言
普通表情
龙
兔
虎
猫
百度网盘
|
360云盘
|
千易网盘
|
华为网盘
在新窗口页面中打开自己喜欢的网盘网站,将文件上传后,然后将下载链接复制到帖子内容中就可以了。
信息提示
关闭
请填处理意见
关闭
确定