小木虫
登陆
|
注册
首页
导读
期刊
发现
社区
招聘老师
当前位置:
小木虫首页
>> 复合材料
生物基树脂特辑:大势所趋,东风已来,技术又如何?
442629613
生物基树脂特辑:大势所趋,东风已来,技术又如何?为什么是生物基树脂?理由1:天然石油资源的日益紧张,生物基材料必须提上日程;理由2:生物基、生物降解材料入寻十四五”国家重...
复合材料
1050
21
关于植物纤维增强复合材料,你了解多少?
442629613
关于植物纤维增强复合材料,你了解多少?植物纤维的种类常用的植物纤维主要有麻纤维(包括剑麻纤维、黄麻纤维、苎麻纤维和亚麻纤维等)、竹纤维、纤维素纤维等。图片来源:Carbo...
复合材料
600
12
球磨罐材质选择。
LF1206
选择球磨的方式求助罐子和球的材质的问题纳米材料和镍基高温合金进行混合,这种的适合用何种罐/球?
复合材料
400
8
水热法制备氧化锌
AJessy
用水热法制备氧化锌,可以制出来,但是含量特别少,300ML的溶液,最后得到0.3g的粉末,大家的情况怎么样
复合材料
300
6
书单推荐▏10本书带你了解绿色复合材料的魅力
442629613
书单推荐▏10本书带你了解绿色复合材料的魅力为了让大家对绿色复合材料有更好的了解,本文特将与绿色复合材料相关的书籍进行了整理。由于时间仓促,本文整理的内容如有遗漏,希望大...
复合材料
900
18
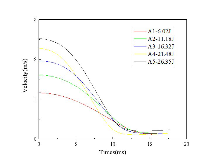
树脂基复合材料低速冲击速度-时间曲线,为什么最后速度不为0?
没有三两三
如题5T9)AK(1YR06EL8HA9_K33.png
复合材料
250
5
跟国际名企一起了解热塑性复合材料的未来
442629613
图片热塑性复合材料凭借其可重复使用性和可持续性的优势,正在改变复合材料市常实际上,Marketsandmarkets的报告显示,到2024年,热塑性复合材料市场预计将达到...
复合材料
550
11
0.5mm以下厚度的碳纤维板怎么切割?
异域蓝枫
如题,有什么合适的方法,工具或者是设备?
复合材料
600
12
碳材料超级电容器横流充放电
化工华
横流充放电小电流密度下,出现与横坐标平行的水平直线,大电流密度下没有,这个水平的直线是什么造成的
复合材料
200
4
纯新手,请教下环氧树脂固化时间如何判断?
1216565504
刚刚接触环氧树脂基复合材料,想请教以下各位前辈。做环氧树脂复合材料固化时,针对不同的固化剂和促进剂,固化温度与时间该如何计算呢?
复合材料
250
5
关于高强韧可回收环氧树脂,你了解多少?
442629613
环氧树脂是三大通用热固性树脂之一,与各种固化剂反应后所得的固化物具有优异的尺寸稳定性、机械性能、耐热性和耐溶剂性,因而广泛应用于航天、航空、汽车及电子等领域。图片图片来源:安徽新远01环氧树脂的缺点但是环氧树脂也存在着很多缺点,例如内应力大、质脆、易燃、不易降...
复合材料
250
5
陶瓷基碳化硅复合材料
圆圆原哈
看到一文献里使用SEM把二维碳化硅/碳化硅复合材料界面层与单丝,单丝与基体的分界拍的很清楚,可是同样是打磨后拍摄,自己却拍不出分界的效果。是自己少了什么处理吗?SiC/SiC复合材料。大家有什么处理方法和建议吗?第一次发帖,图片一直无法上传。只能描述了。
复合材料
150
3
环氧树脂固化气泡很多
1216565504
我用的是e51环氧树脂+20用量异佛尔酮二胺+1wt%DMP30+5wt%环氧树脂,在50℃真空干燥箱中真空除气40分钟,之后升温到80保持一小时。但是成品是带着很多气泡直接固化了,做了几次都是这样。求助前辈们这是怎么回事啊?是固化剂和环氧树脂体系不匹配吗?
复合材料
450
9
粉末压片问题求助
故事开始以前
各位虫友,本人想制备一些金属氧化物薄片,要密实一些,尽量减少空隙,看文献中大都是粉末压片,粉末做的细一些,筛的均匀一些,请问还有其他工艺路线能制备比较密实的金属氧化物薄片吗
复合材料
150
3
纤维复合材料 降低弹性模量
844154976
玻璃纤维复合筋如何降低弹性模量?
复合材料
150
3
关于氧化石墨烯/钛酸钙的TEM表征
221409375
我用激光做了氧化石墨烯/CTO复合材料,要用什么方法来表征它有没有复合成功?用tem拍到go和cto叠在一起算不算复合成功?会不会两个物质刚好叠在一起也会出现类似的图像呢?工科生不是很懂化材方面的
复合材料
250
5
制备出了溶胶但是没有效果咋整,求帮助
理学化学调剂
制备出了氧化钨,二氧化钛的溶胶,但是做光催化没效果咋整。求帮助
复合材料
250
5
树脂:环氧树脂,固化剂:D230,固化之后的环氧树脂储能模量只有500MPa,是什么原因?
一等小青年
请问各位大佬,D230固化的环氧树脂,储能模量为什么只有500MPa,可能是什么原因导致的?
复合材料
150
3
SPS放电等离子烧结问题
故事开始以前
各位虫友好,我是研二新虫友,通过溶胶凝胶法制备了一些La、Sr、Ba掺杂的Fe2O3材料,现在想制备一些密实的金属薄片,厚度2-5mm直径20-30mm,请问利用SPS技术可以做到吗,要求密实95%,无贯穿孔,机械强度较高。
复合材料
200
4
想了解热固性树脂如何实现全生命周期可持续发展吗?来这里就对了
442629613
关于可持续热固性树脂与传统热固性树脂相比,新型可持续热固性树脂将从原材料来源、使用安全、废弃后高附加值利用等几个方面实现全生命周期的绿色发展。全生命周期绿色复合材料主要研...
复合材料
600
12
请问光催化降解抗生素遇到这种情况怎么办呀
暴走青年543
就是到最后紫外可见分光光度计已经没有峰值了,怎么定量分析呢,按照Ct/C0的话Ct始终不为零了呀
复合材料
200
4
求助:帮忙拟合一下椭偏的数据,我实在操作不起来
bnyn7324
有人会拟合出椭偏仪的测试数据吗?拟合n,k,还有膜厚,就那个加密的软件,我调了好久没能拟合出来,求大神帮忙,
复合材料
250
5
《Composites Part B》主编王浩教授为你全面讲解碳纤维复合材料的回收利用
442629613
碳纤维复合材料以其高强轻质给航空航天工业带来了革命性的变化。在今后的几十年我们将看到碳纤维复材的应用被广泛地扩展到其它多个领域,如汽车、轨道交通、风电叶片、压力气瓶、和工...
复合材料
500
10
碳化硅复合材料
角动量神秘
做这些项目为了什么,申请基金,还是实现应用
复合材料
200
4
马松琪研究员为你详细讲解易回收热固性树脂的设计合成及结构性能研究
442629613
关于热固性树脂·热固性树脂具有优异的机械性能、热学性能、尺寸稳定性、加工性能以及化学稳定性等,是轻量化汽车、航天航空器、风电、太阳能电池、电子电器等关键结构材料之一。按类...
复合材料
700
14
AVIZO如何对环扫CT的图片进行三维重建?
sbccjl
如题,CT数据是360度环扫的图片,每个图片有各自的角度,但导入AVIZO后是层叠累加的,如何导入才能避免,争取读取数据呢?
复合材料
350
7
请问异质结的两种材料一定都是二维的吗
小兰陵
最近再看异质结方面的文献,有一个疑问想请问大家,组成异质结的两种材料都是二维的吗,他们之间是范德华力吗,谢谢大家
复合材料
200
4
聚吡咯高温热解用氩气可以吗?
小迷糊hcc
聚吡咯纳米管高温热解制备氮掺杂碳纳米管,可以用氩气烧吗?
复合材料
400
8
不知道苯并噁嗪是什么?不了解苯并噁嗪树脂有什么用?快来一起学习下吧!
442629613
关于苯并噁嗪·苯并噁嗪(苯并噁[ě]嗪[qín]),源自Benzoxazine音译,苯并噁嗪是一类含有氮、氧六元杂环的苯并稠环化合物。关于苯并噁嗪树脂·图片图片来源:科宜...
复合材料
550
11
PLA/PBAT/nano-SiO2(硅烷偶联剂处理)
XZX言午
聚乳酸基体做注塑件,太脆了,注塑机脱膜的时候会把样条冲断,导致部分样条卡在模具里了。请问这可能会是什么原因?
复合材料
350
7
454
‹‹
1
2
3
4
5
6
››
... 16
板块导航
网络生活
育儿交流
健康生活
有奖问答
资源共享
课件资源
试题资源
化学化工
有机
高分子
无机物化
分析
催化
工艺技术
化工设备
化工
精细化工
电化学
环境
专业学科
机械
物理
数学
农林
食品
地学
能源
信息科学
理工农林
科研生活
博后之家
专业外语
外语学习
导师招生
找工作
招聘信息
考研
考博
公务员
生物医药
新药研发
药学
药品生产
分子生物
微生物
动植物
生物科学
医学
材料
材料
材料工程
微米纳米
晶体
金属
非金属
生物材料
功能材料
复合材料
计算模拟
第一原理
量子化学
计算模拟
分子模拟
仿真模拟
程序语言
学术交流
论文投稿
基金申请
学术会议
出国留学
留学生活
公派出国
访问学者
海外博后
留学DIY
签证指南
出国考试
海外院所
注册执考
化工工程师
执业药师
执业医师
环境工程师
会计师
注册考试
24小时热帖
换一批
AI论文写作工具:是科研加速器还是学术作弊器?
3
孩子确诊有中度注意力缺陷
6
康复大学泰山学者周祺惠团队招收博士研究生
4
2026博士申请-功能高分子,水凝胶方向
6
论文投稿,期刊推荐
4
应助之星
sinubi
+关注
donkey2014
+关注
北京莱茵润色
+关注
我想更懂你29
+关注
下载小木虫APP
与700万科研达人随时交流
二维码
IOS
安卓
欢迎监督和反馈
:小木虫仅提供交流平台,不对该内容负责。
欢迎协助我们监督管理,共同维护互联网健康,违规贴举报删除请联系邮箱:xiaomuchong@tal.com
(点此查看侵权举报方式)
我们保证在7个工作日内给予处理和答复,谢谢您的监督。
©2001-2025 muchong.com,小木虫
京ICP备16008351号
京公网安备 11010802022153号
Copyright © 2001-2025 muchong.com, All Rights Reserved. 小木虫 版权所有