当前位置:小木虫首页 >> 博后之家

博后没给聘书类似的文件,不敢轻易提辞职,怎么办?

yuchaoch
本人收到上海交通大学知名教授的博士后职位,教授已经口头答应了,但是学校博后管理处说没有任何的博后聘书文件,让我辞掉当前工作,拿到辞职信后办理入站手续。没有博后聘书或邀请函,这样裸辞,心里感觉不踏实,毕竟如果我向公司提出辞职后,如果有意外,我就进退两难了。怎么办...
博后之家
  • 800
  • 16

海交通大学化工学院邱惠斌教授招聘2021年入站博士后(优秀者年薪40万)

erics080
一、合作导师简介邱惠斌:上海交通大学化学化工学院,教授、课题组长、博士生导师。入选国家青千项目、上海高校青年东方学者、上海市曙光计划、上海市浦江人才计划。研究成果以通信或第一通信作者身份发表在Science(2015,2016,2019)、J.Am.Chem....
博后之家
  • 3250
  • 65

深圳大学化学与环境工程学院超分子化学与材料研究团队诚聘副研究员和科研助理

一江水198309
深圳大学化学与环境工程学院超分子化学与材料研究团队诚聘副研究员和科研助理一、团队介绍深圳大学化学与环境工程学院超分子化学与材料研究团队期望与有志之士共同发展,特面向国内外公开招聘专职副研究员及科研助理若干名。课题组负责李霄鹏教授,2004年毕业于郑州大学获化学...
博后之家
  • 2100
  • 42

应聘单位没给讲师职位,只给了博士后

wufang2013
博士毕业不想留在外面,只想回家,应聘家里普通二本学校讲师,但现在只给博后。文件上写的博后按副教授七级待遇,五险一金,子女入学都有,优秀的话一年转师资博后。学校新进讲师也是副教授七级待遇,还有几十万安家费,博后没有安家费,出站后留校有安家费。纠结要不要去。。。
博后之家
  • 550
  • 11

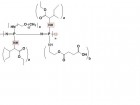
origin2018画图中,plot details-plot properties下面显示不完全

xiaodui
origin2018画图中,plotdetails-plotproperties下面显示不完全,点不到Ok等键,怎么处理?如图所示,缩小也到显示不到下面1.png
博后之家
  • 950
  • 19

国防科技大学物理系极端原子与分子物理课题组诚邀博士后

goldenfisher
国防科学技术大学原子与分子物理学科是国家重点二级学科,军队重点实验室,团队拥有国家杰青、优青等人才。现招收师资博士后,优秀博后出站可以直接入职正式编制。博士期间研究背景:1.第一原理计算,分子动力学计算,含时密度泛函研究背景,研究对象不限。主要开展结合机器学习...
博后之家
  • 1550
  • 31

希望这篇投稿和博后面上顺利。

firstexpedition
1..最近这篇投稿,经历过很多次、很多次地被拒了,最终修改得还可以。已经有两个意见回来了,但编辑还没做决定,希望这次顺利呀。2..第二次申请了博后面上,有了第一次的经验,也修改得自己满意了。可惜第一次申请只差了三个名次就是我了,也希望这次顺利。3..手头的工作...
博后之家
  • 1550
  • 31

清华大学伯克利深圳学院陈伟坚课题组2020年招聘博士后

yutityu
清华大学伯克利深圳学院陈伟坚课题组2020年招聘博士后1.任职要求:1)获得管理科学、工业工程、统计学、应用数学、计算机技术、经济学等相关专业的博士学位。2)身体健康,具有良好的团队合作精神,具有严谨科学态度,能独立开展研究工作,且可以全职从事博士后研究工作的...
博后之家
  • 350
  • 7

陆军特色医学中心(陆军军医大学大坪医院)呼吸与危重症医学科招聘

hfwmd
陆军特色医学中心(陆军军医大学大坪医院)呼吸与危重症医学科招聘本科室为进一步加强人才队伍建设,优化人员结构,根据学科实际需求,拟引进呼吸病学、肿瘤学、分子生物学、生物信息学、病理学等相关学科优秀人才加入团队。联系人:唐欢联系电话:15123340028。或将简...
博后之家
  • 200
  • 4

吉林外国语大学2020年最新招聘

hfwmd
吉林外国语大学2020年最新招聘吉林外国语大学是吉林省重点高校。学校现已成为全国民办高等教育体制改革示范基地,吉林省应用型高素质外语外事人才培养基地,东北地区语种最多、特色鲜明的世界多语言文化教育中心,吉林省培养“多语种翻译+”人才和创新研究生人才培养模式的摇...
博后之家
  • 500
  • 10

中国科学技术大学-李丰银课题组招聘博士后

yyz1001
中国科学技术大学李丰银课题组招聘博士后李丰银,博士生导师,入选中科院百人计划、国家优秀青年基金获得者;中国科学技术大学与附属第一医院风湿免疫科双聘专家。研究组主要研究方向为:1、抗病毒感染、炎症中T淋巴细胞转录与表观遗传调控机制;2、自身免疫性疾病发病机理以及...
博后之家
  • 250
  • 5

南方科技大学林君浩研究员课题组招聘博士后和研究助理教授

linjhsustc
--课题组主页'http://linjh.phy.sustech.edu.cn/'如有意向,请直接联系林君浩老师:'linjhsustech.edu.cn'--招聘信息:实验室长期招聘博士后,研究助理教授。有如下任一方向背景或研究经历优先考虑:1)透射电镜研究...
博后之家
  • 1200
  • 24

重庆医科大学新靶标与化学干预研究中心郭祖奉课题组招博士后和研究助理

chgzf
一、课题组研究方向重庆医科大学新靶标与化学干预研究中心是一个新筹建的跨学科研究中心,以基础与临床研究相结合,针对当前药物新靶标匮乏和发现困难的现状,聚焦肿瘤、病毒和心血管疾病等慢性病的药物新靶标和活性先导结构发现,建立分子、细胞和模式动物等多维度的药物筛选和活...
博后之家
  • 150
  • 3

现在去江南大学,一般需要什么条件?

哈雷摩托V
985土博,在工业界干了两年,赚了点钱,不愁吃喝。目前在某985高校博士后,有国家课题1项,国家博后基金1项、省部级基金3项,还有一些其他的,合同经费估计小300万。SCI有10多篇,这两年搞了几篇好的,一作跟通信作者的属于中科院一区或者领域内认可的AB类的有...
博后之家
  • 1100
  • 22

香港中文大学(深圳)2020招聘

pwyqe
香港中文大学(深圳)2020招聘一、学校简介香港中文大学(深圳)是一所经国家教育部批准,按中外合作办学条例设立,传承香港中文大学的办学理念和学术体系的大学。以创建一所立足中国、面向世界的一流研究型大学为己任,致力于培养具有国际视野、中华传统和社会担当的创新型高...
博后之家
  • 450
  • 9

北京大学分子工程苏南研究院燃料电池催化剂项目组招聘启事

pwyqe
北京大学分子工程苏南研究院燃料电池催化剂项目组招聘启事北京大学分子工程苏南研究院是由北京大学、江苏省产业技术研究院和常熟市人民政府三方共建,专注于产业技术开发转化的研究院,位于常熟国家高新技术产业开发区。项目组依托北京大学化学与分子工程学院纳米结构功能材料课题...
博后之家
  • 400
  • 8

求助有关二维材料剥离、仿生应用或者纳流体方面的博后招聘信息

山东外飘汉
本人985在读博士一名,明年6月份毕业,想现在联系联系博后。主要集中在“二维材料剥离“、“二维材料仿生应用”、“二维材料纳流体通道应用”方面。想请虫友们,帮忙推荐一下国内外的老师和招聘信息。国内具有代表性的是江雷院士和俞书宏院士,他们的学生做的也是风生水起。羡...
博后之家
  • 1100
  • 22

博士后出站如果不能在高校当讲师,一般能找什么工作?是不是不能走校招,只能走社招?

qiuqiming
RT,现在大部分单位都是校招,是不是博士后反而比博士更不好找工作了?
博后之家
  • 200
  • 4

同济大学航空航天与力学学院杨伟东研究员诚招博士后(新型材料与结构力学)

yuren909
●课题组负责人简介:杨伟东,博士,同济大学“青年百人计划”特聘研究员,博士生导师。主要研究方向包括智能复合材料与结构力学、微纳米器件多场耦合力学、人工智能柔性电子器件设计等。现主持包括国家自然科学基金、科技部重点专项子项等国家省部级项目多项,并先后承担了973...
博后之家
  • 1150
  • 23

询问武汉科技大学新进教师的待遇

875375783
大家有没有知道博士毕业的结构工程,去武汉科技大学待遇什么的怎么样?前景怎么样?
博后之家
  • 650
  • 13

北京大学深圳研究生院博士后岗位招聘

牛虻吹泡泡
北京大学深圳研究生院新材料学院肖荫果课题组因为所承担的科研项目需求,拟招聘博士后、研究助理和工程师:一、招聘岗位:博士后(3名)二、课题组简介:本课题组致力于能源材料和磁性材料结构和性能方面的研究,结合材料制备、性能测试以及中子散射大科学装置结构表征方法探索材...
博后之家
  • 1400
  • 28

深圳罗湖医院集团高薪聘请针灸方向博后

yare123
顶尖平台、团队,发展上升期机会多,只差你来!岗位要求:1.针灸学、中药学等相关专业或具有相关背景。特别是具有针灸临床背景和精通网络药理学的人才。2.博士后要求年龄不大于35岁,毕业3年内为佳。3.具有科研基础,发表过2篇以上的SCI论文。福利待遇:1.五险一金...
博后之家
  • 500
  • 10

深圳大学陈仕国、王元丰课题组诚邀功能高分子、智能材料方向博士后加盟

yangxinkaifa
一、研究方向:1.生物医用高分子材料、抗菌抗病毒功能织物;2.超浸润材料与界面、海洋防腐和环境治理材料;3.仿生功能材料与界面(仿生浸润性、结构色、流体控制研究);4.刺激响应智能材料;5.智能空调织物,自适应湿热管理织物;二、应聘要求:1.高分子化学、纺织化...
博后之家
  • 1000
  • 20

求租北京大学饭卡(短期)

金虎爱唠叨
求租北京大学饭卡,预计租用2-3天。
博后之家
  • 1000
  • 20

深圳大学特聘教授胡强课题组招博后-藻类生物学与开发/海洋微生物与生态学-32万+

chen2412675
深圳大学特聘教授胡强课题组招聘博士后一、简介胡强是深圳大学特聘教授、博士生导师,同时担任中国科学院水生生物研究所]藻类生物技术与生物能源研发中心主任和特聘研究员。曾组建国家开发投资公司微藻生物科技中心,担任中心主任,并担任微藻生物能源与资源北京市重点实验室主任...
博后之家
  • 2500
  • 50

中国海洋大学何治宇教授团队招聘博士后

村口一蹲
一、团队介绍中国海洋大学:坐落于美丽的海滨城市青岛,是教育部直属重点综合性大学,是国家“985工程”和“211工程”重点建设的高校,2017年9月首批入选国家“世界一流大学建设高校”(a类)。海洋化学理论与工程技术教育部重点实验室是在中国海洋大学海洋化学系的基...
博后之家
  • 350
  • 7

中国科学院海洋研究所张盾/王鹏研究组招聘特别研究助理(博士后)

798
研究组拟招聘特别研究助理(博士后),情况如下:方向需求:有材料、化学、生物、理论计算等方向研究背景,能独立开展相关研发工作。工作地点:青岛。工资待遇:特别研究助理具体工资待遇包括五个部分:副研究员工资待遇,青岛市补贴6万/年(免税),个人津贴20~40万(根据...
博后之家
  • 500
  • 10

真心求教,毕业后,为何需要做博后?

Lydia叁叁
坐标欧洲,哲学类博士生,第五学期在读,女生。前段时间和友人讨论未来规划,我表示毕业后希望尽快找工作入职,同时也感觉高校教学与科研双重压力会很大,因此优先考虑社科院所等单位(当然也会有压力,只是我个人觉得相对高校这些单位可能只是有科研压力更好应对一些)。友人却表...
博后之家
  • 1000
  • 20

南京大学柔性储能、光热器件组诚聘副研究员(基础研究或工程应用)

cavalry2008
因课题组发展需要,南京大学现代工程与应用科学学院柔性储能与光热器件课题组诚聘博士后、助理研究员和副研究员。唐少春,南京大学材料学专业博士,美国斯坦福大学访问学者,现为南京大学现代工程与应用科学学院教授,博士生导师,南京大学海安高新技术研究院院长。国家科技奖励项...
博后之家
  • 2550
  • 51

北京大学分子工程苏南研究院燃料电池催化剂项目组招聘启事

fkbds
北京大学分子工程苏南研究院燃料电池催化剂项目组招聘启事北京大学分子工程苏南研究院是由北京大学、江苏省产业技术研究院和常熟市人民政府三方共建,专注于产业技术开发转化的研究院,位于常熟国家高新技术产业开发区。项目组依托北京大学化学与分子工程学院纳米结构功能材料课题...
博后之家
  • 150
  • 3
下载小木虫APP
与700万科研达人随时交流
  • 二维码
  • IOS
  • 安卓