Suzuki 反应求助

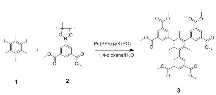
在做这个反应的时候,一直不能成功,用量是1:5(starting materials), 7eq的碱,0.05eq的催化剂,只能得到脱卤的产物或者说没有原始材料,温度用80度,氮气脱氧了。求大神指导,谢谢
[ Last edited by Flyingdragon on 2021-4-30 at 16:54 ]
返回小木虫查看更多
今日热帖

在做这个反应的时候,一直不能成功,用量是1:5(starting materials), 7eq的碱,0.05eq的催化剂,只能得到脱卤的产物或者说没有原始材料,温度用80度,氮气脱氧了。求大神指导,谢谢
[ Last edited by Flyingdragon on 2021-4-30 at 16:54 ]
返回小木虫查看更多
i
内容已删除
。
催化剂试过Pd(dppf)Cl2,Pd(OAc)2,溶剂试过DMF,甲苯,碱试过碳酸钾,碳酸铯,也都氮气保护了,都失败了。我再试试THF
,