分离纯化不知道怎么办了
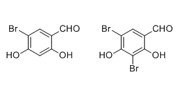
我想分离这两个化合物,(点板,一个溴的在上面,两个溴的在下面)过柱没办法把他们纯化,干法上样,过柱用PE,EA体系,在硅胶上会析出,两个溴的总是会先出来,然后就交叉了,换DCM,也会在硅胶上析出,会两个东西直接冲下来。我试着用溶剂来洗,甲醇能把他们都溶了,但是两个溴的会又一点点固体,我试了试用甲醇洗,但液体里面还是都是有两个东西,想问问,我这两个东西应该怎么分离纯化。一个溴的是我想要的。

N5KH(W$1OR`D{YU6M_{%A02.png
返回小木虫查看更多
今日热帖
京公网安备 11010802022153号
两个的量很多,重结晶是需要纯度高的才能吧,我这个东西就是两个东西的混合,会影响下一步反应,所以需要在原料上提纯
楼主 要不试试把酚羟基做成酯,然后再分离。酯化以后也许溶解度会好。
但这到时候还得还原回来,路线更麻烦了
,
大约比例是多少?既然你想要一溴,那么二溴不多,重结晶吧
正常思路都是从反应调节控制目标产物,避免杂质的形成,最好优化反应条件,该换溴代试剂
二溴的比例挺多的,重结晶试过了,不行