吸附脱附曲线分析
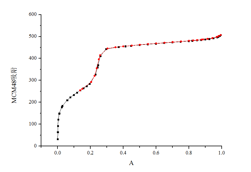
做的MCM-48-如图所示能说是介孔材料吗(0.2-0.35左右那点点回滞环)。比表面积1446m2/g.
曲线3个拐点,求解释解释

1.png

1_meitu_1.jpg

2孔径分布.png
返回小木虫查看更多
今日热帖
做的MCM-48-如图所示能说是介孔材料吗(0.2-0.35左右那点点回滞环)。比表面积1446m2/g.
曲线3个拐点,求解释解释

1.png

1_meitu_1.jpg

2孔径分布.png
返回小木虫查看更多
介孔材料不一定非要有滞后环,只有起过临界孔径 Critical Pore Size才会有滞后环。从吸附等温线的吸附量看,这个表面积可能稍有点大。吸附等温线做的还是又错的。孔径分布的横轴单位应是nm,不是A。
如果你的测试结果没问题的话,应该不是介孔材料。从孔径分布上看,孔径基本上都在2nm以下,属于微孔。从吸脱附等温曲线看,形状像是多层吸附,第一个拐点是单层吸附,随着压力增加进一步多层吸附逐渐形成,最后平稳是吸附层数有限,吸附量达到一个定值。
嗯嗯,”只有起过临界孔径 Critical Pore Size才会有滞后环。”这句没看懂,能否解释一下,还有“吸附等温线做的还是又错的”这句“又错”是什么意思?,
图我都没有整理,吸附图横坐标应该是相对压力p/po,孔径分布横坐标是孔径/nm
,
用的仪器是无法测微孔的,那如果像您说我的材料是微孔这数据还能用吗?
这个应该不是介孔材料,回滞环基本观察不到,而且从孔径分布上看也是绝大部分属于微孔的范畴,建议楼主可以调节调节制备条件,MCM系列材料孔径应该还是比较好调控的
你用测介孔的去测微孔肯定是不准确的,建议去测测微孔。