求助matlab如何计算 无标题.png 返回小木虫查看更多
手算都能算出来
syms x y a; f = int(int((1+1/(x+y))*a*y,y,0,5),x,3-a,6) 但是无法得到显式解。 Warning: Explicit integral could not be found. 如果令 a = 1; 可以得到结果 f = log((25389989167104*77^(1/2))/3502954942155823) + 60
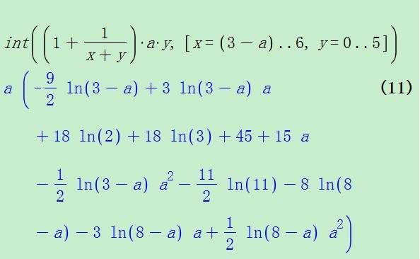
MATLAB: syms a x y int(int(a*y*(1+1/(x+y)),y,0,5),x,(3-a),6) 结果如附图1。 Maple结果如附图2。 可见,二者是一致的。 附图1.jpg 附图2.jpg ,
手算都能算出来
syms x y a;
f = int(int((1+1/(x+y))*a*y,y,0,5),x,3-a,6)
但是无法得到显式解。
Warning: Explicit integral could not be found.
如果令
a = 1;
可以得到结果
f =
log((25389989167104*77^(1/2))/3502954942155823) + 60
MATLAB:


syms a x y
int(int(a*y*(1+1/(x+y)),y,0,5),x,(3-a),6)
结果如附图1。
Maple结果如附图2。
可见,二者是一致的。
附图1.jpg
附图2.jpg
,
亲,你MATLAB怎么积分出来的我的就不行啊