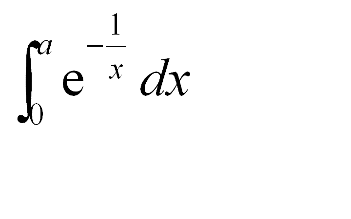
跪求高手帮忙做一下下面这个定积分 1.GIF 返回小木虫查看更多
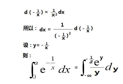
仅供参考: 先变形: https://bcs.duapp.com/emuchnet/2 ... _1372736990_453.jpg 再结合7式、6式计算。 https://wenku.baidu.com/view/16823b0df12d2af90242e685.html 感觉积分下限有点问题。 无标题1.jpg ,
仅供参考:

先变形:
https://bcs.duapp.com/emuchnet/2 ... _1372736990_453.jpg
再结合7式、6式计算。
https://wenku.baidu.com/view/16823b0df12d2af90242e685.html
感觉积分下限有点问题。
无标题1.jpg
,