当前位置: 首页 > 有奖问答 >简单的反应你不一定能作对啊,不信你试试

简单的反应你不一定能作对啊,不信你试试

作者 panchengwe
来源: 小木虫 100 2 举报帖子
+关注

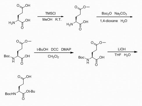
大家帮忙说说这个反应的具体操作吧,我没得到最终产物 啊
 返回小木虫查看更多

今日热帖
  • 精华评论
  • zouqinghua

    你这样操作,最终得到的要么是起始原料,要么得到的是氨基被保的起始原料!真不幸,你这个实验做得乱七八糟,

  • wangati

    楼主的意思好像是说他做不出来别人就很难做出来了

猜你喜欢
应助之星
下载小木虫APP
与700万科研达人随时交流
  • 二维码
  • IOS
  • 安卓