| 查看: 1305 | 回复: 9 | ||
m76acxb铜虫 (小有名气)
|
[求助]
四阶龙格库塔编程
|
|
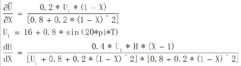
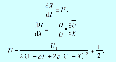
对于方程组:1.目的是画plot(X,H);利用四阶龙格库塔库塔编程 2.初值:T=0时,X=0,H=1;,X的范围【0 1】;相关式子已经写在第二个图片里 3.大致思路是每个X的取值都有一个相对应的T,然后将X和T代入到方程求解H 4.个人最大困难在于这个方程组中既含有T又含有X,然后X和T又是一个函数关系。 希望能够给出相应的程序,求帮忙!! 耦合方程组.gif 相关式子.gif |
» 猜你喜欢
085600材料与化工
已经有6人回复
281求调剂(0805)
已经有24人回复
265求调剂
已经有8人回复
0817 化学工程 299分求调剂 有科研经历 有二区文章
已经有21人回复
295材料求调剂,一志愿武汉理工085601专硕
已经有4人回复
0856调剂,是学校就去
已经有9人回复
298-一志愿中国农业大学-求调剂
已经有9人回复
求调剂
已经有4人回复
学校已经提交到NSFC,还能修改吗?
已经有7人回复
材料学硕297已过四六级求调剂推荐
已经有6人回复
» 本主题相关价值贴推荐,对您同样有帮助:
R语言求大量数据的log值怎么求?求助高手!
已经有3人回复
用四阶龙格库塔法求解常微分方程组
已经有15人回复
matlab 如何求解多元二阶微分方程组
已经有7人回复
一阶隐式微分方程参数法求解问题
已经有3人回复
求助!!对于调用龙格库塔法如何对结果判断反馈
已经有6人回复
matlab编程 ODE45
已经有4人回复
急!求大神用Matlab四阶龙格库塔解个方程!
已经有5人回复
matlab解方程组求助攻
已经有4人回复
简单四阶导数求解!!
已经有7人回复
求高手帮我解一阶常微分方程组,非常感谢!!
已经有5人回复
mathcad怎样用四阶龙格库塔法求解二阶微分方程?
已经有8人回复
关于四阶单位矩阵(fourth-rank identity tensor)
已经有5人回复
拼了。。700金币求高手。最优控制,动态规划 matlab 仿真。。
已经有17人回复
求组!求解一个微分方程组的符号解,并画出图像!!!
已经有7人回复
Matlab用龙格库塔法求二阶非线性方程
已经有13人回复
分数阶微分方程的求解(用差分法,matlab编程求解)
已经有9人回复
龙格库塔法 matlab
已经有6人回复
如何求解描述振动的二阶微分方程
已经有21人回复
隐式欧拉法求解一阶常微分方程
已经有7人回复
LabVIEW与动态链接库
已经有4人回复
【资源】Runge-Kutta解ODE的一些程序及应用(from MathWorks)
已经有3人回复
【求助】四阶龙格-库塔方法!!!!
已经有17人回复
2楼2015-05-25 20:40:14
3楼2015-05-25 20:50:27
4楼2015-05-25 22:44:58
m76acxb
铜虫 (小有名气)
- 应助: 0 (幼儿园)
- 金币: 209.5
- 散金: 26
- 帖子: 62
- 在线: 27.9小时
- 虫号: 3628589
- 注册: 2015-01-05
- 性别: GG
- 专业: 机械动力学
5楼2015-05-26 08:53:15
m76acxb
铜虫 (小有名气)
- 应助: 0 (幼儿园)
- 金币: 209.5
- 散金: 26
- 帖子: 62
- 在线: 27.9小时
- 虫号: 3628589
- 注册: 2015-01-05
- 性别: GG
- 专业: 机械动力学
6楼2015-05-26 09:12:50
|
其实我认为合理的解法是三楼和四楼所说的 三楼的变换应该是比较合理的: 左边:dh/dx*dx/dt =dh/dt 右边:u*(-h/u)*∂h/∂x=-h*∂h/∂x 而∂h/∂x你不是算出来了吗 这样:dh/dt=-h*∂h/∂x (2) 再加上: dx/dt=u (1) du1/dt=0.8*cos(20*pi*t)*20 (3) 三个未知数x h u1 求解时不要把u1直接带入而把它当成未知数 你想画的(x,h)关系很简单,如果那三个方程组成的方程组解出了,把对应时刻的x和h直接作图不就行了 [ 发自手机版 http://muchong.com/3g ] |
» 本帖已获得的红花(最新10朵)
7楼2015-05-26 16:01:02
m76acxb
铜虫 (小有名气)
- 应助: 0 (幼儿园)
- 金币: 209.5
- 散金: 26
- 帖子: 62
- 在线: 27.9小时
- 虫号: 3628589
- 注册: 2015-01-05
- 性别: GG
- 专业: 机械动力学
8楼2015-05-26 17:07:47
9楼2015-05-26 18:44:18
m76acxb
铜虫 (小有名气)
- 应助: 0 (幼儿园)
- 金币: 209.5
- 散金: 26
- 帖子: 62
- 在线: 27.9小时
- 虫号: 3628589
- 注册: 2015-01-05
- 性别: GG
- 专业: 机械动力学
10楼2015-05-27 15:02:16













回复此楼
m76acxb