| ²é¿´: 1839 | »Ø¸´: 6 | ||
嫺£ÐÐÖÛгæ (³õÈëÎÄ̳)
|
[ÇóÖú]
ÇóÖú£¡£¡¶ÔÓÚµ÷ÓÃÁú¸ñ¿âËþ·¨ÈçºÎ¶Ô½á¹ûÅжϷ´À¡ ÒÑÓÐ2È˲ÎÓë
|
|
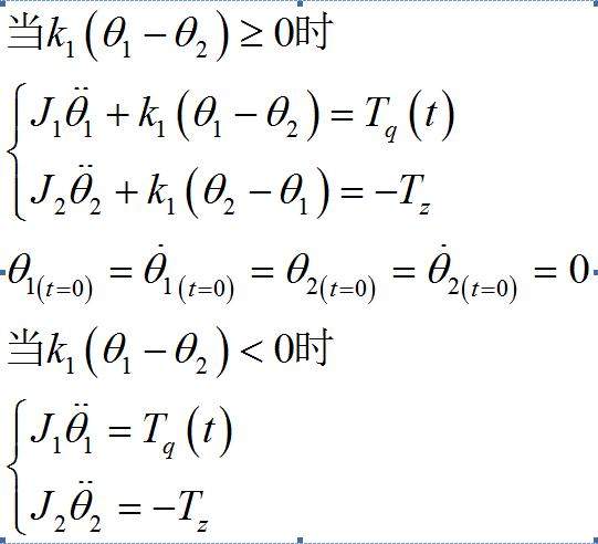
ÔÚmatlabÀïµ÷ÓÃÁú¸ñ¿âËþËã·¨£¬ÈçºÎʵÏÖ¶Ôÿ²½µÄ½á¹û½øÐÐÅжÏÀ´Ñ¡Ôñ²»Í¬µÄ΢·Ö·½³Ì×飿£¿¾ßÌåÇé¿öÈçͼ£º 360½ØÍ¼20140519204025928.jpg |
» ²ÂÄãϲ»¶
286Çóµ÷¼Á
ÒѾÓÐ25È˻ظ´
22ר˶Çóµ÷¼Á
ÒѾÓÐ8È˻ظ´
²ÄÁϹ¤³Ì281»¹Óе÷¼Á»ú»áÂð
ÒѾÓÐ19È˻ظ´
ҩѧ305Çóµ÷¼Á
ÒѾÓÐ7È˻ظ´
290Çóµ÷¼Á
ÒѾÓÐ13È˻ظ´
085410 273Çóµ÷¼Á
ÒѾÓÐ8È˻ظ´
0831Ò»ÂÖµ÷¼Áʧ°ÜÇóÖú
ÒѾÓÐ3È˻ظ´
271Çóµ÷¼Á
ÒѾÓÐ22È˻ظ´
Çóµ÷¼Á£¬985²ÄÁÏÓ뻯¹¤348·Ö
ÒѾÓÐ9È˻ظ´
344 ²ÄÁÏרҵ Çóµ÷¼Á211 ÎÞµØÓòÒªÇó
ÒѾÓÐ5È˻ظ´
» ±¾Ö÷ÌâÏà¹Ø¼ÛÖµÌùÍÆ¼ö£¬¶ÔÄúͬÑùÓаïÖú:
ÇëÎÊ´óʦMatlabÔõô½â¶þÔª¶þ½×΢·Ö·½³Ì£¡£¡£¡£¡¾´Àñ£¡
ÒѾÓÐ3È˻ظ´
¼±£¡Çó´óÉñÓÃMatlabËĽ×Áú¸ñ¿âËþ½â¸ö·½³Ì£¡
ÒѾÓÐ5È˻ظ´
matlab ·ÇÏßÐÔ΢·Ö·½³ÌÇó½â
ÒѾÓÐ3È˻ظ´
ÔõÑùÓÃmatlab»òÕßÊÇmathcadÇó½âº¬Óбä²ÎÊýµÄËĴη½³Ì£¿
ÒѾÓÐ7È˻ظ´
ÇëÎÊʲôÊÇ·Ö¶ÎÁú¸ñ¿âËþµÄ·½·¨£¿ÐèÒªÓÃmatlabÈí¼þ²ÉÓÃÕâÖÖ·½·¨Çó¶þ½×΢·Ö·½³ÌµÄ½â
ÒѾÓÐ3È˻ظ´
ÇóÖú£ºÓ¦ÓÃÏÖÓÐÊý¾Ý×ö³ö¶þÔªÒ»´Î»Ø¹é·½³Ì
ÒѾÓÐ10È˻ظ´
mathcadÔõÑùÓÃËĽ×Áú¸ñ¿âËþ·¨Çó½â¶þ½×΢·Ö·½³Ì£¿
ÒѾÓÐ8È˻ظ´
΢·Ö·½³Ì×éÇó²ÎÊýÎÊÌ⣬Çó¸ßÈËÖ¸½Ì£¬¸Ðл
ÒѾÓÐ11È˻ظ´
Áú¸ñ-¿âËþ£¨runger-kuta£©Çó½â΢·Ö·½³Ì
ÒѾÓÐ3È˻ظ´
Çómatlab ÓÃËĽ×Áú¸ñ-¿âËþ·¨Çó½â΢·Ö·½³Ì
ÒѾÓÐ4È˻ظ´
Áú¸ñ¿âËþ·¨ matlab
ÒѾÓÐ6È˻ظ´
MATLABR2010aÖÐCOM×é¼þµÄÉú³ÉºÍLabviewÖе÷ÓÃCOM×é¼þ
ÒѾÓÐ53È˻ظ´
ÒþʽŷÀ·¨Çó½âÒ»½×³£Î¢·Ö·½³Ì
ÒѾÓÐ7È˻ظ´
ÇóÖúÀûÓÃmatlabµÄODE45Çó½â΢·Ö·½³Ì
ÒѾÓÐ16È˻ظ´
LABVIEWËĽ×Áú¸ñ¿âËþ·¨Çó½âÒ»½×΢·Ö·½³Ì×é
ÒѾÓÐ12È˻ظ´
¡¾ÇóÖú¡¿´ß»¯·´Ó¦¶¯Á¦Ñ§
ÒѾÓÐ5È˻ظ´
¡¾ÇóÖú¡¿MatlabÖÐÀûÓÃËĽ×Áú¸ñ-¿âËþ·¨Çó½â΢·Ö·½³Ì£¡£¡£¡£¡
ÒѾÓÐ9È˻ظ´
¡¾ÌÖÂÛ¡¿¡¾¡¾ËĽ×Áú¸ñ-¿âËþ·¨Çó½â΢·Ö·½³Ì¡¿¡¿
ÒѾÓÐ8È˻ظ´
¡¾ÇóÖú¡¿Çë½Ì¶þ½×΢·Ö·½³ÌµÄÌØ½â£¨º¬³õʼÌõ¼þ£©
ÒѾÓÐ8È˻ظ´
¡¾ÇóÖú¡¿ËĽ×Áú¸ñ-¿âËþ·½·¨£¡£¡£¡£¡
ÒѾÓÐ17È˻ظ´
¡¾ÇóÖú¡¿Ê¹ÓÃMatlabÄâºÏ·´Ó¦¶¯Á¦Ñ§·½³ÌÎÊÌâ
ÒѾÓÐ7È˻ظ´
¡¾ÇóÖú¡¿Ê¹ÓÃMatlabÔ¤¹À¶¯Á¦Ñ§·½³ÌÎÊÌâ
ÒѾÓÐ13È˻ظ´
baobiao007
ľ³æ (Ö°Òµ×÷¼Ò)
ÖйúÌØÉ«
- Ó¦Öú: 201 (´óѧÉú)
- ½ð±Ò: 6482.7
- É¢½ð: 557
- ºì»¨: 40
- Ìû×Ó: 3050
- ÔÚÏß: 1009.9Сʱ
- ³æºÅ: 505962
- ×¢²á: 2008-02-18
- רҵ: Ó¦ÓõØÇòÎïÀíѧ

2Â¥2014-05-20 15:12:24
嫺£ÐÐÖÛ
гæ (³õÈëÎÄ̳)
- Ó¦Öú: 0 (Ó×¶ùÔ°)
- ½ð±Ò: 199
- Ìû×Ó: 16
- ÔÚÏß: 5.7Сʱ
- ³æºÅ: 3101717
- ×¢²á: 2014-03-30
- ÐÔ±ð: GG
- רҵ: »úе¶¯Á¦Ñ§
3Â¥2014-05-20 15:19:25
reko34
ľ³æ (ÕýʽдÊÖ)
- Ó¦Öú: 117 (¸ßÖÐÉú)
- ½ð±Ò: 4794.2
- É¢½ð: 22
- ºì»¨: 12
- Ìû×Ó: 780
- ÔÚÏß: 417.4Сʱ
- ³æºÅ: 3055206
- ×¢²á: 2014-03-15
- ÐÔ±ð: GG
- רҵ: »úе²âÊÔÀíÂÛÓë¼¼Êõ
¡¾´ð°¸¡¿Ó¦Öú»ØÌû
¡ï ¡ï ¡ï ¡ï ¡ï
¸Ðл²ÎÓ룬ӦÖúÖ¸Êý +1
嫺£ÐÐÖÛ: ½ð±Ò+5, ¡ï¡ï¡ïºÜÓаïÖú, ¸ø³öÁË˼· 2014-06-10 15:48:59
¸Ðл²ÎÓ룬ӦÖúÖ¸Êý +1
嫺£ÐÐÖÛ: ½ð±Ò+5, ¡ï¡ï¡ïºÜÓаïÖú, ¸ø³öÁË˼· 2014-06-10 15:48:59
| Áú¸ç¿âËþ·¨ÎÒÊÇÖ»¼ÇµÃÃû×ÖÁË£¬·½³Ì¾Í¿´²»¶®ÁË¡£³ÌÐòÉÏ¿ÉÒÔÊÔÊÔÔÚµ÷ÓÃÃüÁîµÄÄÇÐмӸö¶Ïµã£¬È»ºóstep in½øµ½µ÷ÓõÄ×Ó³ÌÐò£¬ÓÐЩMATLABµÄ×Ô´øº¯Êý¿ÉÒÔÕâÑùÆÆ½â£¬¸´ÖƸö±¸·Ý¼ÓÄãµÄÅжϡ£ |
4Â¥2014-05-20 16:38:51
嫺£ÐÐÖÛ
гæ (³õÈëÎÄ̳)
- Ó¦Öú: 0 (Ó×¶ùÔ°)
- ½ð±Ò: 199
- Ìû×Ó: 16
- ÔÚÏß: 5.7Сʱ
- ³æºÅ: 3101717
- ×¢²á: 2014-03-30
- ÐÔ±ð: GG
- רҵ: »úе¶¯Á¦Ñ§
5Â¥2014-05-20 20:06:41
嫺£ÐÐÖÛ
гæ (³õÈëÎÄ̳)
- Ó¦Öú: 0 (Ó×¶ùÔ°)
- ½ð±Ò: 199
- Ìû×Ó: 16
- ÔÚÏß: 5.7Сʱ
- ³æºÅ: 3101717
- ×¢²á: 2014-03-30
- ÐÔ±ð: GG
- רҵ: »úе¶¯Á¦Ñ§
|
ÄãºÃ£¬ÎÒ°´Äã˵µÄ»¹ÊÇûÄܸ㶨£¬ÎÒ×Ô¼º±àÁ˸ö¼òµ¥º¯Êý£¬ÔÚ³ÌÐòÀï¼ÓÅжϣ¬¿ÉÊÇÔÚÅжϵÄÄǸöµØ·½Îó²îºÜ´ó£¬Äܲ»ÄܰïÎÒ·ÖÎöÏ£¨ÊDz»ÊÇÒòΪµü´úµÄÇø¼ä±äÁË£¬¸ÃÈçºÎ¸ÄÄØ£¿£©£¬½±Àø¾Í¸øÄãÁ˰ɣ¬¿´ÕâÑù×ÓÊÇûÈËÔٻظ´ÁË¡£¾ßÌåÈçÏ£º function dy=vdp1000(t,y); dy=zeros(1,1); if y(1)<2 dy(1)=1; else dy(1)=2; end ÊäÈë[T,X]=ode45('vdp1000',[0:0.001:4],[0]); Ï£ÍûÄܰï°ïæ |
6Â¥2014-05-21 20:33:55
reko34
ľ³æ (ÕýʽдÊÖ)
- Ó¦Öú: 117 (¸ßÖÐÉú)
- ½ð±Ò: 4794.2
- É¢½ð: 22
- ºì»¨: 12
- Ìû×Ó: 780
- ÔÚÏß: 417.4Сʱ
- ³æºÅ: 3055206
- ×¢²á: 2014-03-15
- ÐÔ±ð: GG
- רҵ: »úе²âÊÔÀíÂÛÓë¼¼Êõ
|
Áú¸ç¿âËþÎÒûʵ¼ÊÓùý£¬Ñ§¹ý¾ÍÍüÁË£¬Ö»¼ÇµÃÊǸöµü´ú·½·¨£¬ÔÚode45Àï¿¿½ü½áÊøµÄµØ·½ÓиöwhileÑ»·Ç¶Ì×£¬Ó¦¸ÃÊÇÖ÷ÒªµÄ¼ÆËã²½Ö裬¹À¼ÆÅжÏÓ¦¸Ã¼ÓÔÚÕâÀïµÄÑ»·ÄÚ²¿¡£ÎÒÀíÂÛ²»Í¨ËùÒÔ¿´²»¶®ÄIJ½ÔÚ¸Éʲô£¬»¹ÐèÒªÄã×Ô¼º·ÖÎö¡£ |
7Â¥2014-05-21 20:53:29













»Ø¸´´ËÂ¥