版块导航
正在加载中...
客户端APP下载
论文辅导
调剂小程序
登录
注册
帖子
帖子
用户
本版
应《网络安全法》要求,自2017年10月1日起,未进行实名认证将不得使用互联网跟帖服务。为保障您的帐号能够正常使用,请尽快对帐号进行手机号验证,感谢您的理解与支持!
24小时热门版块排行榜
>
论坛更新日志
(1703)
>
基金申请
(69)
>
虫友互识
(56)
>
文献求助
(25)
>
导师招生
(22)
>
硕博家园
(21)
>
考博
(10)
>
博后之家
(9)
>
论文投稿
(9)
>
教师之家
(8)
>
休闲灌水
(8)
>
考研
(6)
>
论文道贺祈福
(5)
>
公派出国
(5)
>
招聘信息布告栏
(4)
>
找工作
(4)
小木虫论坛-学术科研互动平台
»
专业学科区
»
数学
»
基础数学
»
简单四阶导数求解!!
8
1/1
返回列表
查看: 1712 | 回复: 7
只看楼主
@他人
存档
新回复提醒
(忽略)
收藏
在APP中查看
lypku
新虫
(小有名气)
应助: 0
(幼儿园)
金币: 3
帖子: 68
在线: 26.9小时
虫号: 2700025
注册: 2013-10-05
专业: 代数学
[
求助
]
简单四阶导数求解!!
划勾那题 求步骤 谢谢~
45444444444444.jpg
回复此楼
» 猜你喜欢
依托企业入选了国家启明计划青年人才。有无高校可以引进的。
已经有9人回复
有时候真觉得大城市人没有县城人甚至个体户幸福
已经有11人回复
表哥与省会女结婚,父母去帮带孩子被省会女气回家生重病了
已经有7人回复
同年申请2项不同项目,第1个项目里不写第2个项目的信息,可以吗
已经有8人回复
依托企业入选了国家启明计划青年人才。有无高校可以引进的。
已经有10人回复
天津大学招2026.09的博士生,欢迎大家推荐交流(博导是本人)
已经有9人回复
有院领导为了换新车,用横向课题经费买了俩车
已经有10人回复
AI 太可怕了,写基金时,提出想法,直接生成的文字比自己想得深远,还有科学性
已经有6人回复
» 本主题相关价值贴推荐,对您同样有帮助:
2阶微分方程, 带自然指数e
已经有11人回复
mathcad怎样用四阶龙格库塔法求解二阶微分方程?
已经有8人回复
关于四阶单位矩阵(fourth-rank identity tensor)
已经有5人回复
大家能给看看这个方程属于什么类型,应该怎么求解?
已经有10人回复
四阶非线性偏微分方程组求解
已经有6人回复
matlab求二阶偏导数
已经有3人回复
简单的求偏导数!
已经有3人回复
偏微分方程阶次
已经有3人回复
求matlab 用四阶龙格-库塔法求解微分方程
已经有4人回复
Mathematica 简单 四元一次方程组 ,求解问题~
已经有9人回复
一阶微分方程求解,并优化参数值
已经有14人回复
如何求解描述振动的二阶微分方程
已经有21人回复
简单的求导问题
已经有11人回复
隐式欧拉法求解一阶常微分方程
已经有7人回复
请问如何求解二元一阶微分方程组
已经有24人回复
求解四阶微分方程组
已经有14人回复
非线性自治微分方程的稳定性
已经有4人回复
LABVIEW四阶龙格库塔法求解一阶微分方程组
已经有12人回复
【求助】帮忙对两个式子求导,谢谢!(已解决)
已经有3人回复
【求助】Matlab中利用四阶龙格-库塔法求解微分方程!!!!
已经有9人回复
【求助】请教:高阶矩的几何意义?
已经有8人回复
【求助】矩阵导数【已解决】
已经有16人回复
【求助】二阶导数 UV
已经有3人回复
【求助】怎样在origin里把一个曲线求二阶导数?
已经有2人回复
1楼
2013-12-05 21:38:40
已阅
回复此楼
关注TA
给TA发消息
送TA红花
TA的回帖
feixiaolin
荣誉版主
(文坛精英)
专家经验: +518
应助: 942
(博后)
贵宾: 1.275
金币: 3430
散金: 58785
红花: 532
沙发: 11
帖子: 24215
在线: 2601.8小时
虫号: 2139575
注册: 2012-11-21
专业: 光学信息获取与处理
管辖:
数学
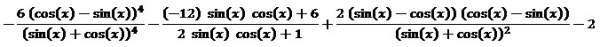
1阶:(-sinx+cosx)/(cosx+sinx)=1-2sinx/(cosx+sinx)
2阶:-[2cosx*(cosx+sinx)-2sinx*(-sinx+cosx)]/(cosx+sinx)^2=-2/(1+sin(2x))
3阶:……
不难,你自己可以做的。
赞
一下
回复此楼
2楼
2013-12-05 22:14:23
已阅
回复此楼
关注TA
给TA发消息
送TA红花
TA的回帖
lypku
新虫
(小有名气)
应助: 0
(幼儿园)
金币: 3
帖子: 68
在线: 26.9小时
虫号: 2700025
注册: 2013-10-05
专业: 代数学
引用回帖:
2楼
:
Originally posted by
feixiaolin
at 2013-12-05 22:14:23
1阶:(-sinx+cosx)/(cosx+sinx)=1-2sinx/(cosx+sinx)
2阶:-/(cosx+sinx)^2=-2/(1+sin(2x))
3阶:……
不难,你自己可以做的。
谢谢~
回复此楼
3楼
2013-12-05 22:17:51
已阅
回复此楼
关注TA
给TA发消息
送TA红花
TA的回帖
lypku
新虫
(小有名气)
应助: 0
(幼儿园)
金币: 3
帖子: 68
在线: 26.9小时
虫号: 2700025
注册: 2013-10-05
专业: 代数学
引用回帖:
2楼
:
Originally posted by
feixiaolin
at 2013-12-05 22:14:23
1阶:(-sinx+cosx)/(cosx+sinx)=1-2sinx/(cosx+sinx)
2阶:-/(cosx+sinx)^2=-2/(1+sin(2x))
3阶:……
不难,你自己可以做的。
结果是2么
回复此楼
4楼
2013-12-05 22:35:59
已阅
回复此楼
关注TA
给TA发消息
送TA红花
TA的回帖
feixiaolin
荣誉版主
(文坛精英)
专家经验: +518
应助: 942
(博后)
贵宾: 1.275
金币: 3430
散金: 58785
红花: 532
沙发: 11
帖子: 24215
在线: 2601.8小时
虫号: 2139575
注册: 2012-11-21
专业: 光学信息获取与处理
管辖:
数学
引用回帖:
4楼
:
Originally posted by
lypku
at 2013-12-05 22:35:59
结果是2么...
不会是2.
回复此楼
5楼
2013-12-05 22:37:30
已阅
回复此楼
关注TA
给TA发消息
送TA红花
TA的回帖
lypku
新虫
(小有名气)
应助: 0
(幼儿园)
金币: 3
帖子: 68
在线: 26.9小时
虫号: 2700025
注册: 2013-10-05
专业: 代数学
引用回帖:
5楼
:
Originally posted by
feixiaolin
at 2013-12-05 22:37:30
不会是2.
这个是么。
555555.jpg
赞
一下
(1人)
回复此楼
6楼
2013-12-05 22:40:17
已阅
回复此楼
关注TA
给TA发消息
送TA红花
TA的回帖
Aaddin
铁虫
(著名写手)
应助: 24
(小学生)
金币: 39.7
散金: 2701
红花: 13
沙发: 1
帖子: 2180
在线: 566.6小时
虫号: 2040470
注册: 2012-10-02
专业: 数论
【答案】应助回帖
感谢参与,应助指数 +1
先进行积化和差,再进行求导。
[ 发自小木虫客户端 ]
赞
一下
回复此楼
【已不用木虫】有着平凡而简单的生活!也有着丰富而多彩的人生!
7楼
2013-12-06 08:08:14
已阅
回复此楼
关注TA
给TA发消息
送TA红花
TA的回帖
wurongjun
专家顾问
(职业作家)
专家经验: +831
数学EPI: 9
应助: 791
(博后)
贵宾: 0.308
金币: 24609
散金: 310
红花: 75
帖子: 3004
在线: 881.2小时
虫号: 1368482
注册: 2011-08-14
性别: GG
专业: 计算数学与科学工程计算
管辖:
数学
【答案】应助回帖
感谢参与,应助指数 +1
16*(cos(x)*sin(x)-1)/(-4*cos(x)^4+4*cos(x)*sin(x)+4*cos(x)^2+1)
赞
一下
回复此楼
善恶到头终有报,人间正道是沧桑.
8楼
2013-12-06 16:56:09
已阅
回复此楼
关注TA
给TA发消息
送TA红花
TA的回帖
相关版块跳转
数理科学综合
机械
物理
数学
农林
食品
地学
能源
信息科学
土木建筑
航空航天
转基因
我要订阅楼主
lypku
的主题更新
8
1/1
返回列表
如果回帖内容含有宣传信息,请如实选中。否则帐号将被全论坛禁言
普通表情
龙
兔
虎
猫
百度网盘
|
360云盘
|
千易网盘
|
华为网盘
在新窗口页面中打开自己喜欢的网盘网站,将文件上传后,然后将下载链接复制到帖子内容中就可以了。
信息提示
关闭
请填处理意见
关闭
确定