| ²é¿´: 782 | »Ø¸´: 4 | |||
ÆßÃûÕòÄÏÌú³æ (³õÈëÎÄ̳)
|
[ÇóÖú]
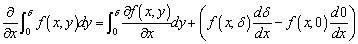
¹ØÓÚ¶þÔªº¯Êý»ý·ÖÎÊÌâ ÒÑÓÐ2È˲ÎÓë
|
||
|
|
|||
ÆßÃûÕòÄÏÌú³æ (³õÈëÎÄ̳)
|
|||
|
2Â¥2015-05-22 23:29:32
|
|
||
zaq123321ר¼Ò¹ËÎÊ (ÖøÃûдÊÖ)
|
|||
![]() |
|||
|
3Â¥2015-05-22 23:48:18
|
|
||
shuxue0ľ³æ (ÕýʽдÊÖ)
|
¡¾´ð°¸¡¿Ó¦Öú»ØÌû
¡ï ¡ï ¡ï ¡ï ¡ï ¡ï ¡ï ¡ï ¡ï ¡ï ¡ï ¡ï ¡ï ¡ï ¡ï ¡ï ¡ï ¡ï ¡ï ¡ï ¡ï ¡ï ¡ï ¡ï ¡ï
¸Ðл²ÎÓ룬ӦÖúÖ¸Êý +1 ÆßÃûÕòÄÏ: ½ð±Ò+5, ¡ï¡ï¡ïºÜÓаïÖú, ¶÷£¬Ó¦¸ÃÊÇȫ΢·Ö£¬Ð´´íÁË 2015-05-23 09:09:06 feixiaolin: ½ð±Ò+20, 2015µÚ¶þ¼¾¶ÈÓ¦Öú½± 2015-07-02 12:13:34
|
||
|
4Â¥2015-05-23 07:28:47
|
|
||
ÆßÃûÕòÄÏÌú³æ (³õÈëÎÄ̳)
|
|||
|
5Â¥2015-05-23 09:16:44
|
|













»Ø¸´´ËÂ¥

