| ²é¿´: 545 | »Ø¸´: 3 | |||
Shirley89Òø³æ (СÓÐÃûÆø)
|
[ÇóÖú]
Çó½â΢·Ö·½³Ì ÒÑÓÐ1È˲ÎÓë
|
|
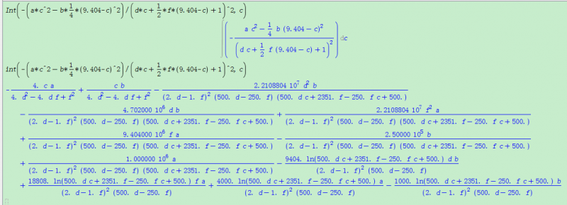
ʹÓÃ1stoptÈí¼þ»òÕßmatlabÈí¼þ¼ÆËã¶¼ÐС£ ·½³Ì£º ÒÑÖªt,cÇóa,b,d,f -dc/dt=(a*c^2-b*0.25*(9.404-c)^2)/(d*c+0.5*f*(9.404-c)+1)^2 t c 0 8.769713879 3 5.909461709 6 5.736047766 9 4.756936544 12 4.505799773 15 4.354160734 18 4.124025932 21 3.994725485 31 3.732949397 41 3.680613046 51 3.537445782 61 3.283577643 |
» ²ÂÄãϲ»¶
070200Çóµ÷¼Á£¬Ò»Ö¾Ô¸Ä³211£¬288·Ö
ÒѾÓÐ20È˻ظ´
·¨¹ú²©Ê¿ºóְλ
ÒѾÓÐ0È˻ظ´
ÎïÀíѧIÂÛÎÄÈóÉ«/·ÒëÔõôÊÕ·Ñ?
ÒѾÓÐ52È˻ظ´
ÖØÇì½»´ó26Äê˶ʿÉúÕÐÉúÄâµ÷¼Á֪ͨÒѳö£¡»¶Ó¼ÓÈë»úÆ÷ÊÓ¾õÓë3D¹âѧ³ÉÏñ¿ÎÌâ×é¡£
ÒѾÓÐ0È˻ظ´
**
ÒѾÓÐ1È˻ظ´
0702Ò»Ö¾Ô¸¼ª´óBÇøÇóµ÷¼Á ±¾¿ÆÆÚ¼ä·¢±íһƪSci
ÒѾÓÐ3È˻ظ´
»ùµ×STO,±¡Ä¤SRO£¬XRDÀïÃæµÄÕñµ´£¬ÊÇlaueÕðµ´»¹ÊÇkiessigÕñµ´? ÔõôÅжϣ¿
ÒѾÓÐ2È˻ظ´
BÇøÑ§Éúµ÷¼Á-À¼Öݽ»Í¨´óѧ²ÄÁÏ¿ÆÑ§Ó빤³ÌѧԺ
ÒѾÓÐ8È˻ظ´
ɽÎ÷´óͬ´óѧÎïÀíѧרҵ»¹Óе÷¼ÁÃû¶î£¬»¶Óµ÷¼Á£¡
ÒѾÓÐ9È˻ظ´
¹ðÁÖÀí¹¤´óѧÎïÀíѧרҵÕÐÊÕµ÷¼Á
ÒѾÓÐ6È˻ظ´
» ±¾Ö÷ÌâÏà¹Ø¼ÛÖµÌùÍÆ¼ö£¬¶ÔÄúͬÑùÓаïÖú:
ÇóÖú΢·Ö·½³ÌÇó½âÎÊÌâ
ÒѾÓÐ8È˻ظ´
ÕâÖÖÆ«Î¢·Ö·½³ÌÈçºÎÇó½â°¡£¿ÇóÖ¸µã
ÒѾÓÐ20È˻ظ´
¹ØÓÚ¶þ½×ƫ΢·Ö·½³ÌÇó½â
ÒѾÓÐ21È˻ظ´
ÇëÎÊÕâ¸öƫ΢·Ö·½³Ì×éÓÐÒ»°ãµÄ½â·¨Ã´£¿
ÒѾÓÐ12È˻ظ´
ÇóÖú£ºÓÃMatlab½â΢·Ö·½³Ì£¬ÃüÁîÔõô±à¼£¿ÓÐÀý×Ó
ÒѾÓÐ13È˻ظ´
±äϵÊýƫ΢·Ö·½³ÌmatlabÇó½â
ÒѾÓÐ6È˻ظ´
³£Î¢·Ö·½³ÌÇó½â¹«Ê½
ÒѾÓÐ7È˻ظ´
ƫ΢·Ö·½³ÌÇó½â£¡
ÒѾÓÐ4È˻ظ´
ÈçºÎÓÃMATLABÇó½âÂö³å΢·Ö·½³Ì²¢»Í¼
ÒѾÓÐ5È˻ظ´
ÈçºÎÓÃMatlabÇóʱ±ä΢·Ö·½³ÌµÄ½â£¿
ÒѾÓÐ5È˻ظ´
΢·Ö·½³Ì×éÇó²ÎÊýÎÊÌ⣬Çó¸ßÈËÖ¸½Ì£¬¸Ðл
ÒѾÓÐ11È˻ظ´
΢·Ö·½³Ì½â£¬½âµÄÎȶ¨ÐÔ¼°Ïà¹Ø·ÖÎö
ÒѾÓÐ7È˻ظ´
MatlabÇó½âƫ΢·Ö·½³Ì×é
ÒѾÓÐ22È˻ظ´
ÇëÎÊÈçºÎÇó½â¶þÔªÒ»½×΢·Ö·½³Ì×é
ÒѾÓÐ24È˻ظ´
Çó½âÒ»¸öº¬×ÖĸϵÊýµÄ΢·Ö·½³Ì
ÒѾÓÐ5È˻ظ´
¡¾ÇóÖú¡¿MATLAB ÓÐÏÞ²î·Ö·¨£¨FDM£©Çó½âƫ΢·Ö·½³Ì
ÒѾÓÐ22È˻ظ´
¡¾ÇóÖú¡¿»ý·Ö΢·Ö·½³ÌmatlabÇó½â
ÒѾÓÐ6È˻ظ´
ÔÂÖ»À¶
Ö÷¹ÜÇø³¤ (Ö°Òµ×÷¼Ò)
-

ר¼Ò¾Ñé: +1059 - ¼ÆËãÇ¿Ìû: 8
- Ó¦Öú: 1712 (½²Ê¦)
- ¹ó±ö: 8.888
- ½ð±Ò: 68129.7
- É¢½ð: 1938
- ºì»¨: 443
- ɳ·¢: 4
- Ìû×Ó: 4373
- ÔÚÏß: 3291.4Сʱ
- ³æºÅ: 1122189
- ×¢²á: 2010-10-14
- רҵ: ÓîÖæÑ§
- ¹ÜϽ: ¼ÆËãÄ£ÄâÇø
¡¾´ð°¸¡¿Ó¦Öú»ØÌû
¡ï ¡ï ¡ï ¡ï ¡ï ¡ï ¡ï ¡ï ¡ï ¡ï
¸Ðл²ÎÓ룬ӦÖúÖ¸Êý +1
Shirley89: ½ð±Ò+10, ¡ïÓаïÖú 2015-05-19 21:32:07
¸Ðл²ÎÓ룬ӦÖúÖ¸Êý +1
Shirley89: ½ð±Ò+10, ¡ïÓаïÖú 2015-05-19 21:32:07

2Â¥2015-05-19 20:08:03
Shirley89
Òø³æ (СÓÐÃûÆø)
- Ó¦Öú: 0 (Ó×¶ùÔ°)
- ½ð±Ò: 231.5
- Ìû×Ó: 196
- ÔÚÏß: 64.5Сʱ
- ³æºÅ: 2320612
- ×¢²á: 2013-03-05
- ÐÔ±ð: MM
- רҵ: µ°°×ÖÊ×éѧ
3Â¥2015-05-19 21:34:19
Shirley89
Òø³æ (СÓÐÃûÆø)
- Ó¦Öú: 0 (Ó×¶ùÔ°)
- ½ð±Ò: 231.5
- Ìû×Ó: 196
- ÔÚÏß: 64.5Сʱ
- ³æºÅ: 2320612
- ×¢²á: 2013-03-05
- ÐÔ±ð: MM
- רҵ: µ°°×ÖÊ×éѧ
|
ÄúºÃ£¡ÄúÄܰïÎÒÔÚÄâºÏÈý×éÊý¾ÝÂ𣿳ÌÐòÊÇÒ»ÑùµÄ£¬ÎÒÏë¿´Ò»ÏÂÄâºÏµÄ²ÎÊý²îµÄ¶àÂð¡£ |
» ±¾Ìû¸½¼þ×ÊÔ´Áбí
-
»¶Ó¼à¶½ºÍ·´À¡£ºÐ¡Ä¾³æ½öÌṩ½»Á÷ƽ̨£¬²»¶Ô¸ÃÄÚÈݸºÔð¡£
±¾ÄÚÈÝÓÉÓû§×ÔÖ÷·¢²¼£¬Èç¹ûÆäÄÚÈÝÉæ¼°µ½ÖªÊ¶²úȨÎÊÌ⣬ÆäÔðÈÎÔÚÓÚÓû§±¾ÈË£¬Èç¶Ô°æÈ¨ÓÐÒìÒ飬ÇëÁªÏµÓÊÏ䣺xiaomuchong@tal.com - ¸½¼þ 1 : ÐèÒªÄâºÏµÄÊý¾Ý.doc
2015-05-19 21:45:20, 71.5 K
4Â¥2015-05-19 21:45:44













»Ø¸´´ËÂ¥
5