| 查看: 2394 | 回复: 13 | |||
suixin123456铁虫 (小有名气)
|
[求助]
求助:用Matlab解微分方程,命令怎么编辑?有例子已有1人参与
|
||
|
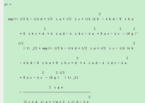
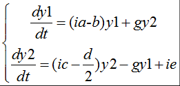
如图,a=0.1,b=0.086,g=0.045,c=0.01,d=0.8,e=-0.069+0.109*i(复数) 当t=0时,y1=0.0005-0.00013*i,y2=-6.28-15*i 要求用matlab求此微分方程组的解,形式为exp()+exp()+复数 给我一个可运行的完整命令,谢谢了!!! 图片1.png |
» 猜你喜欢
比利时鲁文大学固体物理系招收CSC博士
已经有0人回复
🌟 比利时新鲁汶大学(UCLouvain)诚邀CSC博士加入Pascal Gehring教授团队
已经有0人回复
物理学I论文润色/翻译怎么收费?
已经有250人回复
第一性原理计算方向2026级博士申请 PRB*1,四级484
已经有1人回复
求助VISSIM破解版软件
已经有0人回复
求2026年在台湾举行的物理和材料领域国际学术会议信息
已经有0人回复
求国际会议网站
已经有1人回复
求取一些关于纳米材料和纳米技术相关的英文PPT。
已经有0人回复
【复旦大学】二维材料方向招收2026年博士研究生1名
已经有0人回复
北京纳米能源与系统研究所 王中林院士/曹南颖研究员课题组2026级硕/博/博后招生
已经有10人回复
» 本主题相关价值贴推荐,对您同样有帮助:
变系数偏微分方程matlab求解
已经有6人回复
matlab 非线性微分方程求解
已经有3人回复
matlab如何求解一个非线性微分方程组
已经有8人回复
求助,用matlab解微分方程组,希望高手能给予指点
已经有17人回复
如何用Matlab求时变微分方程的解?
已经有5人回复
求助:matlab解17个未知数,17个方程。
已经有4人回复
matlab解偏微分方程求助
已经有12人回复
用matlab做微分方程的图
已经有3人回复
求高手解答Matlab求解微分方程的初始值和边界值问题
已经有5人回复
Matlab求解二阶偏微分方程组,希望能给出相应的求解代码
已经有10人回复
各位朋友,如何用matlab编写这个方程,并求解?
已经有15人回复
求助matlab求解复杂微分方程
已经有7人回复
matlab有限差分法求解复杂的偏微分方程组
已经有19人回复
求助MATLAB解方程组
已经有6人回复
Matlab求解偏微分方程组
已经有22人回复
高金求助matlab解微分方程组
已经有12人回复
matlab的fsove 命令求解非线性方程组
已经有6人回复
【求助】matlab 求解微分方程中的未知参数
已经有20人回复
【求助】向各位大侠求助matlab求解微分方程组遇到的一个问题
已经有21人回复
【求助】MATLAB 有限差分法(FDM)求解偏微分方程
已经有22人回复
【求助】积分微分方程matlab求解
已经有6人回复
【求助】matlab怎么求解偏微分方程组啊,先谢谢了
已经有13人回复

月只蓝
主管区长 (职业作家)
-

专家经验: +1059 - 计算强帖: 8
- 应助: 1712 (讲师)
- 贵宾: 8.888
- 金币: 68120.7
- 散金: 1938
- 红花: 443
- 沙发: 4
- 帖子: 4373
- 在线: 3291.4小时
- 虫号: 1122189
- 注册: 2010-10-14
- 专业: 宇宙学
- 管辖: 计算模拟区

3楼2014-02-18 18:24:54
月只蓝
主管区长 (职业作家)
-

专家经验: +1059 - 计算强帖: 8
- 应助: 1712 (讲师)
- 贵宾: 8.888
- 金币: 68120.7
- 散金: 1938
- 红花: 443
- 沙发: 4
- 帖子: 4373
- 在线: 3291.4小时
- 虫号: 1122189
- 注册: 2010-10-14
- 专业: 宇宙学
- 管辖: 计算模拟区

5楼2014-02-20 13:54:27
感谢参与,应助指数 +1
|
本帖内容被屏蔽 |
2楼2014-02-18 18:04:55
suixin123456
铁虫 (小有名气)
- 应助: 0 (幼儿园)
- 金币: 342.4
- 红花: 47
- 帖子: 96
- 在线: 23.2小时
- 虫号: 1578539
- 注册: 2012-01-15
- 性别: MM
- 专业: 粒子物理学和场论

4楼2014-02-20 11:31:37
suixin123456
铁虫 (小有名气)
- 应助: 0 (幼儿园)
- 金币: 342.4
- 红花: 47
- 帖子: 96
- 在线: 23.2小时
- 虫号: 1578539
- 注册: 2012-01-15
- 性别: MM
- 专业: 粒子物理学和场论

6楼2014-02-23 11:08:53
suixin123456
铁虫 (小有名气)
- 应助: 0 (幼儿园)
- 金币: 342.4
- 红花: 47
- 帖子: 96
- 在线: 23.2小时
- 虫号: 1578539
- 注册: 2012-01-15
- 性别: MM
- 专业: 粒子物理学和场论

7楼2014-02-23 12:09:19
anlongstar
木虫 (文坛精英)
- 应助: 104 (高中生)
- 金币: 10619.4
- 散金: 20
- 红花: 23
- 帖子: 13673
- 在线: 426.7小时
- 虫号: 1173841
- 注册: 2010-12-20
- 性别: GG
- 专业: 动力学与控制
8楼2014-02-23 12:55:35
anlongstar
木虫 (文坛精英)
![]() |
9楼2014-02-23 13:11:19
suixin123456
铁虫 (小有名气)
- 应助: 0 (幼儿园)
- 金币: 342.4
- 红花: 47
- 帖子: 96
- 在线: 23.2小时
- 虫号: 1578539
- 注册: 2012-01-15
- 性别: MM
- 专业: 粒子物理学和场论

10楼2014-02-23 14:18:23













回复此楼
