| 查看: 1154 | 回复: 16 | |
| 当前只显示满足指定条件的回帖,点击这里查看本话题的所有回帖 | |
qiang0107铁杆木虫 (著名写手)
|
[求助]
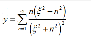
求助一个级数求和问题,谢谢!
|
|
|
|
qiang0107铁杆木虫 (著名写手)
|
|
|
4楼2015-05-08 14:00:06
|
|
qiang0107铁杆木虫 (著名写手)
|
|
|
5楼2015-05-08 14:15:14
|
|
qiang0107铁杆木虫 (著名写手)
|
|
|
6楼2015-05-08 16:50:05
|
|
qiang0107铁杆木虫 (著名写手)
|
|
|
9楼2015-05-08 17:48:05
|
|
qiang0107铁杆木虫 (著名写手)
|
|
|
11楼2015-05-08 18:06:33
|
|
qiang0107铁杆木虫 (著名写手)
|
|
|
13楼2015-05-09 11:27:05
|
|
qiang0107铁杆木虫 (著名写手)
|
|
|
16楼2015-05-09 16:40:15
|
|
qiang0107铁杆木虫 (著名写手)
|
|
|
17楼2015-05-09 16:42:32
|
|









回复此楼
送红花一朵