| ²é¿´: 2404 | »Ø¸´: 14 | |||
Á¿×ÓÈôË®Òø³æ (СÓÐÃûÆø)
|
[ÇóÖú]
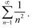
Ò»¸öÊýÁÐÇóºÍ£¬ÇóÖú¡£ ÒÑÓÐ10È˲ÎÓë
|
||
![]() |
|||
|
|
|||
| »ØÌûÖ§³Ö ( ÏÔʾ֧³Ö¶È×î¸ßµÄǰ 50 Ãû ) | |||
elastic½ð³æ (СÓÐÃûÆø)
|
¡¾´ð°¸¡¿Ó¦Öú»ØÌû
¸Ðл²ÎÓ룬ӦÖúÖ¸Êý +1
|
||
![]() |
|||
|
3Â¥2014-05-31 00:32:19
|
|
||
peterflyer
|
¸Ðл²ÎÓ룬ӦÖúÖ¸Êý +1
feixiaolin: Ó¦ÖúÖ¸Êý-1, ÊýÁеĺͲ»Îª0 2014-06-01 14:02:47
|
||
|
12Â¥2014-05-31 20:11:36
|
|
||
Á¿×ÓÈôË®Òø³æ (СÓÐÃûÆø)
|
|||
![]() |
|||
|
13Â¥2014-06-01 09:32:31
|
|
||
| ÆÕͨ»ØÌû | |||
²ËÄñС·ïͳæ (³õÈëÎÄ̳)
|
|||
![]() |
|||
|
2Â¥2014-05-31 00:11:51
|
|
||
Edstrayer°æÖ÷ (ÖøÃûдÊÖ)
·½´ç¶·ÊÒСÌìµØÕýÆøÃÔÂþ´óÊÀ½ç
|
|||
![]() |
|||
|
4Â¥2014-05-31 05:53:24
|
|
||
wurongjunר¼Ò¹ËÎÊ (Ö°Òµ×÷¼Ò)
|
|||
![]() |
|||
|
5Â¥2014-05-31 06:46:51
|
|
||
Á¿×ÓÈôË®Òø³æ (СÓÐÃûÆø)
|
|||
![]() |
|||
|
6Â¥2014-05-31 09:25:06
|
|
||
w812548112½û³æ (ÖøÃûдÊÖ) |
|
||
|
7Â¥2014-05-31 09:36:57
|
|
||
yangxing0827Òø³æ (СÓÐÃûÆø)
|
|||
![]() |
|||
|
8Â¥2014-05-31 10:36:11
|
|
||
likaizhi88
|
|||
|
9Â¥2014-05-31 11:55:55
|
|
||
1347806Òø³æ (СÓÐÃûÆø)
|
|||
|
10Â¥2014-05-31 12:15:25
|
|
||













»Ø¸´´ËÂ¥


20