| 查看: 2318 | 回复: 8 | |||
六月的兔子金虫 (小有名气)
|
[求助]
求助误差函数的计算 已有2人参与
|
|
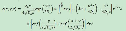
想问一下各位大神,式子中的erf函数怎么计算,用matlab计算的话,除非输入具体的值否则无法获得,还有通过什么方法我可以得到关于x,y,t的函数啊,急求,谢谢各位大神 R65A6G@_B38%%U(X0SLHSZB.jpg |
» 猜你喜欢
085600材料与化工301分求调剂院校
已经有4人回复
材料与化工371求调剂
已经有14人回复
336材料与化工085600求调剂
已经有7人回复
材料334求调剂
已经有18人回复
331求调剂
已经有8人回复
332求调剂
已经有17人回复
一志愿南京航空航天大学 材料与化工329分求调剂
已经有4人回复
材料专硕322
已经有7人回复
求调剂
已经有20人回复
一志愿郑州大学085600求调剂
已经有20人回复
» 本主题相关价值贴推荐,对您同样有帮助:
这个方程组该怎么求解呢?用matlab or c语言?
已经有3人回复
数值解的误差曲面问题
已经有3人回复
有界的扩散方程如何通过调和函数分析法来求解
已经有6人回复
大一高数 求助
已经有6人回复
用matlab画一个函数,能帮我看看程序哪里有问题吗
已经有8人回复
连续函数和不连续的函数的傅里叶变换的主要差别是什么?
已经有6人回复
FORTRAN90标准函数及IMSL标准函数库
已经有166人回复
FORTRAN中erf函数怎么编译?
已经有9人回复
请教含指数函数的定积分
已经有3人回复
erfc的求解问题。谢谢。
已经有5人回复
求解一个二阶偏微分方程~~有结果,但是不知道中间过程(完美解决者答谢100¥)~
已经有4人回复
这个函数积分是多少
已经有15人回复
关于delta函数的高斯积分问题
已经有32人回复
请问,如何在fortran中调用误差函数?
已经有5人回复
求助用Maple解扩散方程-误差函数
已经有3人回复
函数逼近能够估计误差么?
已经有4人回复
误差函数的定积分存在解析解吗?
已经有10人回复
指数函数增长率求出来有偏差,找不到原因。。。。
已经有15人回复
【求助】求解隐函数
已经有6人回复
【求助】求一道分布函数的解法,谢谢!
已经有4人回复
【求助】先解常微分方程 然后画图【已完结】
已经有11人回复
feixiaolin
荣誉版主 (文坛精英)
-

专家经验: +518 - 应助: 942 (博后)
- 贵宾: 1.275
- 金币: 3880
- 散金: 58785
- 红花: 532
- 沙发: 11
- 帖子: 24215
- 在线: 2601.8小时
- 虫号: 2139575
- 注册: 2012-11-21
- 专业: 光学信息获取与处理
- 管辖: 数学
2楼2014-10-15 17:55:52

3楼2014-10-15 21:33:16
feixiaolin
荣誉版主 (文坛精英)
-

专家经验: +518 - 应助: 942 (博后)
- 贵宾: 1.275
- 金币: 3880
- 散金: 58785
- 红花: 532
- 沙发: 11
- 帖子: 24215
- 在线: 2601.8小时
- 虫号: 2139575
- 注册: 2012-11-21
- 专业: 光学信息获取与处理
- 管辖: 数学
4楼2014-10-15 21:56:51
六月的兔子
金虫 (小有名气)
- 应助: 3 (幼儿园)
- 金币: 1236.6
- 散金: 757
- 红花: 2
- 帖子: 138
- 在线: 322.6小时
- 虫号: 688751
- 注册: 2009-01-06
- 专业: 环境分析化学
5楼2014-10-16 15:54:28
feixiaolin
荣誉版主 (文坛精英)
-

专家经验: +518 - 应助: 942 (博后)
- 贵宾: 1.275
- 金币: 3880
- 散金: 58785
- 红花: 532
- 沙发: 11
- 帖子: 24215
- 在线: 2601.8小时
- 虫号: 2139575
- 注册: 2012-11-21
- 专业: 光学信息获取与处理
- 管辖: 数学
6楼2014-10-16 16:48:40
peterflyer
木虫之王 (文学泰斗)
peterflyer
- 数学EPI: 10
- 应助: 20282 (院士)
- 金币: 146220
- 红花: 1374
- 帖子: 93091
- 在线: 7694.3小时
- 虫号: 1482829
- 注册: 2011-11-08
- 性别: GG
- 专业: 功能陶瓷
7楼2014-10-16 23:56:42
六月的兔子
金虫 (小有名气)
- 应助: 3 (幼儿园)
- 金币: 1236.6
- 散金: 757
- 红花: 2
- 帖子: 138
- 在线: 322.6小时
- 虫号: 688751
- 注册: 2009-01-06
- 专业: 环境分析化学
8楼2014-10-17 17:01:30
修竹依米
木虫 (小有名气)
- 应助: 46 (小学生)
- 金币: 3566.6
- 散金: 5
- 红花: 6
- 帖子: 214
- 在线: 123.3小时
- 虫号: 3312435
- 注册: 2014-07-08
- 性别: GG
- 专业: 计算数学与科学工程计算
9楼2014-10-28 10:06:18














回复此楼