版块导航
正在加载中...
客户端APP下载
论文辅导
申博辅导
登录
注册
帖子
帖子
用户
本版
应《网络安全法》要求,自2017年10月1日起,未进行实名认证将不得使用互联网跟帖服务。为保障您的帐号能够正常使用,请尽快对帐号进行手机号验证,感谢您的理解与支持!
24小时热门版块排行榜
>
论坛更新日志
(1682)
>
虫友互识
(103)
>
论文投稿
(51)
>
休闲灌水
(49)
>
博后之家
(43)
>
硕博家园
(33)
>
导师招生
(31)
>
考博
(26)
>
公派出国
(22)
>
基金申请
(19)
>
教师之家
(19)
>
考研
(15)
>
论文道贺祈福
(9)
>
找工作
(7)
>
文献求助
(7)
>
招聘信息布告栏
(4)
小木虫论坛-学术科研互动平台
»
计算模拟区
»
程序语言
»
MATLAB/Mathematica
»
erfc的求解问题。谢谢。
6
1/1
返回列表
查看: 2032 | 回复: 5
只看楼主
@他人
存档
新回复提醒
(忽略)
收藏
在APP中查看
lnjzh
银虫
(正式写手)
应助: 0
(幼儿园)
金币: 419.8
散金: 115
红花: 1
帖子: 915
在线: 97.8小时
虫号: 694554
注册: 2009-01-19
性别:
MM
[
求助
]
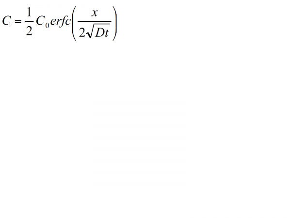
erfc的求解问题。谢谢。
公式中其他参数已知的情况下如何求D。求助相应的matlab代码。谢谢。
无标题ssa.png
回复此楼
» 猜你喜欢
请问有评职称,把科研教学业绩算分排序的高校吗
已经有6人回复
2025冷门绝学什么时候出结果
已经有6人回复
Bioresource Technology期刊,第一次返修的时候被退回好几次了
已经有7人回复
真诚求助:手里的省社科项目结项要求主持人一篇中文核心,有什么渠道能发核心吗
已经有8人回复
寻求一种能扛住强氧化性腐蚀性的容器密封件
已经有5人回复
请问哪里可以有青B申请的本子可以借鉴一下。
已经有4人回复
请问下大家为什么这个铃木偶联几乎不反应呢
已经有5人回复
天津工业大学郑柳春团队欢迎化学化工、高分子化学或有机合成方向的博士生和硕士生加入
已经有4人回复
康复大学泰山学者周祺惠团队招收博士研究生
已经有6人回复
AI论文写作工具:是科研加速器还是学术作弊器?
已经有3人回复
» 本主题相关价值贴推荐,对您同样有帮助:
想问下天津市自来水集团怎么样呢?还是一些设计院(如城建院)好呢~~求解,谢谢大家了
已经有7人回复
抛物型偏微分方程的数值解求解问题,谢谢!
已经有14人回复
哪位高手能用matlab编程求解一维瞬态热传导方程,先谢谢啦
已经有7人回复
EndNote X6不能顺利安装,问题如图?求解,谢谢。
已经有7人回复
ARCMAP 栅格数据1m×1m 转换为10m×10m 土地利用 求解 谢谢
已经有3人回复
求解酸酐与环氧树脂的固化反应原理、结构解释和分子动力学解释,谢谢!
已经有8人回复
物化考博七题求解,谢谢
已经有10人回复
求解投稿(振动与冲击)的邮件回复,大家帮我看这个是啥意思,谢谢。
已经有8人回复
我是一名机械电子工程的学生,求解考研的方向专业,谢谢各位!!!
已经有22人回复
原子荧光测砷时,标准曲线六个点的荧光值基本一样,求解。谢谢
已经有10人回复
mathematica 编程求助
已经有9人回复
【求助】matlab求解一个简单的积分(急!!!)
已经有7人回复
求解一个函数的最大值,谢谢!!
已经有5人回复
求解一道管理学题目,主要是节点参数怎么求~!!!谢谢各位~
已经有9人回复
【求助】matlab怎么求解偏微分方程组啊,先谢谢了
已经有13人回复
【求助】一道初二物理竞赛题目求解,谢谢!
已经有7人回复
【求助】求解几道化工题,小弟先谢谢啦
已经有12人回复
1楼
2013-09-04 20:49:34
已阅
回复此楼
关注TA
给TA发消息
送TA红花
TA的回帖
baobiao007
木虫
(职业作家)
中国特色
应助: 201
(大学生)
金币: 6482.7
散金: 557
红花: 40
帖子: 3050
在线: 1009.9小时
虫号: 505962
注册: 2008-02-18
专业: 应用地球物理学
erfc是啥东西都不解释一下? 你就是这样提问的?
赞
一下
回复此楼
我同意叔本华的观点,人们投身艺术和科学领域的强烈愿望之一就是逃离痛苦、残酷和枯燥无味的现实生活,逃离自己飘忽不定的七情六欲的桎梏。--爱因斯坦
2楼
2013-09-04 21:50:07
已阅
回复此楼
关注TA
给TA发消息
送TA红花
TA的回帖
锐利的碎片
木虫
(正式写手)
star watcher
应助: 136
(高中生)
金币: 3637.1
散金: 252
红花: 22
帖子: 988
在线: 1224.9小时
虫号: 961933
注册: 2010-03-05
专业: 凝聚态物性 II :电子结构
【答案】应助回帖
感谢参与,应助指数 +1
Mathematica:
C0 := 11.0
CC := 1.0
x := 0.5
t := 1.0
NSolve[1/2 C0 Erfc[x/(2 Sqrt[D t])] == CC, D]
赞
一下
回复此楼
3楼
2013-09-04 22:16:52
已阅
回复此楼
关注TA
给TA发消息
送TA红花
TA的回帖
lnjzh
银虫
(正式写手)
应助: 0
(幼儿园)
金币: 419.8
散金: 115
红花: 1
帖子: 915
在线: 97.8小时
虫号: 694554
注册: 2009-01-19
性别:
MM
引用回帖:
3楼
:
Originally posted by
锐利的碎片
at 2013-09-04 22:16:52
Mathematica:
C0 := 11.0
CC := 1.0
x := 0.5
t := 1.0
NSolve[1/2 C0 Erfc == CC, D]
Mathematica:
|
Error: Expression or statement is incomplete or incorrect.
在matlab中不能运行。请继续帮助修改都能运行。谢谢。
赞
一下
回复此楼
4楼
2013-09-04 23:34:38
已阅
回复此楼
关注TA
给TA发消息
送TA红花
TA的回帖
月只蓝
主管区长
(职业作家)
专家经验: +1059
应助: 1712
(讲师)
贵宾: 8.888
金币: 68120.7
散金: 1938
红花: 443
沙发: 4
帖子: 4373
在线: 3291.4小时
虫号: 1122189
注册: 2010-10-14
专业: 宇宙学
管辖:
计算模拟区
【答案】应助回帖
★ ★ ★ ★ ★ ★ ★ ★ ★ ★ ★ ★ ★ ★ ★ ★ ★ ★ ★ ★
感谢参与,应助指数 +1
lnjzh: 金币+20,
★★★★★
最佳答案
2013-09-11 21:12:02
ben_ladeng: 专家考核
2013-09-17 20:10:53
solve(‘c=1/2*c0*erfc(x0/2/sqrt(x*t))’)
字母全部用已知的数替代,x的数值代替程序中的x0即可。
赞
一下
回复此楼
MATLAB、MS小问题、普通问题请发帖求助!时间精力有限,恕不接受无偿私信求助。
5楼
2013-09-04 23:53:58
已阅
回复此楼
关注TA
给TA发消息
送TA红花
TA的回帖
月只蓝
主管区长
(职业作家)
专家经验: +1059
应助: 1712
(讲师)
贵宾: 8.888
金币: 68120.7
散金: 1938
红花: 443
沙发: 4
帖子: 4373
在线: 3291.4小时
虫号: 1122189
注册: 2010-10-14
专业: 宇宙学
管辖:
计算模拟区
引用回帖:
2楼
:
Originally posted by
baobiao007
at 2013-09-04 21:50:07
erfc是啥东西都不解释一下? 你就是这样提问的?
余补误差函数,大部分软件已将其已经作为内置函数。
赞
一下
回复此楼
MATLAB、MS小问题、普通问题请发帖求助!时间精力有限,恕不接受无偿私信求助。
6楼
2013-09-04 23:56:19
已阅
回复此楼
关注TA
给TA发消息
送TA红花
TA的回帖
相关版块跳转
第一性原理
量子化学
计算模拟
分子模拟
仿真模拟
程序语言
我要订阅楼主
lnjzh
的主题更新
6
1/1
返回列表
如果回帖内容含有宣传信息,请如实选中。否则帐号将被全论坛禁言
普通表情
龙
兔
虎
猫
百度网盘
|
360云盘
|
千易网盘
|
华为网盘
在新窗口页面中打开自己喜欢的网盘网站,将文件上传后,然后将下载链接复制到帖子内容中就可以了。
信息提示
关闭
请填处理意见
关闭
确定