| 查看: 1306 | 回复: 16 | ||||
qiang0107铁杆木虫 (著名写手)
|
[求助]
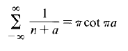
求助一个级数求和问题,谢谢!
|
|||
|
|
||||
| 回帖支持 ( 显示支持度最高的前 50 名 ) | ||||
hank612至尊木虫 (著名写手)
|
★ ★ ★ ★ ★ ★ ★
qiang0107(feixiaolin代发): 金币+7 2015-05-08 17:31:14
|
|||
![]() |
||||
|
3楼2015-05-08 11:31:01
|
|
|||
| 普通回帖 | ||||
feixiaolin荣誉版主 (文坛精英)
|
【答案】应助回帖
感谢参与,应助指数 +1
|
|||
|
2楼2015-05-08 11:24:45
|
|
|||
qiang0107铁杆木虫 (著名写手)
|
||||
|
4楼2015-05-08 14:00:06
|
|
|||
qiang0107铁杆木虫 (著名写手)
|
||||
|
5楼2015-05-08 14:15:14
|
|
|||
qiang0107铁杆木虫 (著名写手)
|
||||
|
6楼2015-05-08 16:50:05
|
|
|||
feixiaolin荣誉版主 (文坛精英)
|
||||
|
7楼2015-05-08 17:15:10
|
|
|||
feixiaolin荣誉版主 (文坛精英)
|
||||
|
8楼2015-05-08 17:26:09
|
|
|||
qiang0107铁杆木虫 (著名写手)
|
||||
|
9楼2015-05-08 17:48:05
|
|
|||
feixiaolin荣誉版主 (文坛精英)
|
» 本帖已获得的红花(最新10朵) |
|||
|
10楼2015-05-08 17:54:44
|
|
|||













回复此楼


qiang0107