| ²é¿´: 2692 | »Ø¸´: 10 | ||||
liseven77thгæ (³õÈëÎÄ̳)
|
[ÇóÖú]
ÇóÖúÓÃmatlab½â¶àÔªÖ¸ÊýÐÍ·½³Ì×é ÒÑÓÐ1È˲ÎÓë
|
|||
|
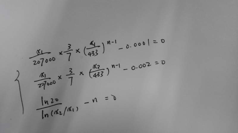
·½³ÌÈçͼ¡£Ö±½ÓÓÃmatlab½â·½³Ì×é½â²»³ö¡£ ²Î¿¼ http://wenku.baidu.com/link?url= ... jMX4Spsljya0IuANYga Õâ¸öÌû×ӵķ½·¨ÓÃÅ£¶Ù·¨µü´úÇó½â£¬´øÈë³õÖµ410,450,30µü´úµÃ²»µ½½á¹û¡£ ·½³Ì½üËÆ½âx1=403 x2=446 n=30 ÓдóÉñÄÜÖ¸µãÒ»ÏÂô IMG_20150409_230048.jpg |
» ²ÂÄãϲ»¶
±±¾©ÄÉÃ×ÄÜÔ´ÓëϵͳÑо¿ËùÍõÖÐÁÖԺʿ/²ÜÄÏÓ±Ñо¿Ô±¿ÎÌâ×éÕÐÊÕ2026˶ʿÑо¿Éú1Ãû
ÒѾÓÐ0È˻ظ´
ɽÎ÷´óͬ´óѧÎïÀíѧ˶ʿÑо¿ÉúÕÐÊÕµ÷¼ÁÉú
ÒѾÓÐ0È˻ظ´
ÎïÀíѧIÂÛÎÄÈóÉ«/·ÒëÔõôÊÕ·Ñ?
ÒѾÓÐ133È˻ظ´
[µ÷¼ÁÐÅÏ¢]211ÖÇÄÜÈ˹¤¸ÐÖª·½Ïò¹ú¼ÒÇàÄêÌØÆ¸×¨¼Ò¿ÎÌâ×éÕÐÊÕµ÷¼ÁÑо¿Éú
ÒѾÓÐ0È˻ظ´
£Ûµ÷¼ÁÐÅÏ¢£Ý211ÖÇÄÜÈ˹¤¸ÐÖª·½Ïò¹ú¼ÒÇàÄêÌØÆ¸×¨¼Ò¿ÎÌâ×éÕÐÊÕµ÷¼ÁÑо¿Éú
ÒѾÓÐ0È˻ظ´
[µ÷¼ÁÐÅÏ¢]211ÖÇÄÜÈ˹¤¸ÐÖª·½Ïò¹ú¼ÒÇàÄêÌØÆ¸×¨¼Ò¿ÎÌâ×éÕÐÊÕµ÷¼ÁÑо¿Éú
ÒѾÓÐ0È˻ظ´
Ò»Ö¾Ô¸ÎïÀíËùÄý¾Û̬ÎïÀí352Çóµ÷¼Á
ÒѾÓÐ0È˻ظ´
0702Ò»Ö¾Ô¸¼ª´óBÇøÇóµ÷¼Á ±¾¿ÆÆÚ¼ä·¢±íһƪSci
ÒѾÓÐ2È˻ظ´
0702Ò»Ö¾Ô¸¼ª´óBÇøÇóµ÷¼Á ±¾¿ÆÆÚ¼ä·¢±íһƪSci
ÒѾÓÐ0È˻ظ´
070200Çóµ÷¼Á£¬Ò»Ö¾Ô¸Ä³211£¬288·Ö
ÒѾÓÐ18È˻ظ´
» ±¾Ö÷ÌâÏà¹Ø¼ÛÖµÌùÍÆ¼ö£¬¶ÔÄúͬÑùÓаïÖú:
matlab ÈçºÎÇó½â¶àÔª¶þ½×΢·Ö·½³Ì×é
ÒѾÓÐ7È˻ظ´
ÇóÖúmatlab¸ßÊÖÖ¸µã£º´óÐÍ·ÇÏßÐÔ·½³Ì×飨ţ¶ÙÀ·ðÉ·¨£©
ÒѾÓÐ7È˻ظ´
˫ָÊý·½³ÌÇó½â£¨MATLAB»òÕßÖ±½Ó¸ø¹«Ê½¶¼¿ÉÒÔ£©
ÒѾÓÐ9È˻ظ´
MATLABÇó½âÎåÔª·ÇÏßÐÔ·½³Ì×飬ÔÚÏßµÈ
ÒѾÓÐ7È˻ظ´
ÀûÓÃmatlabÇóÒ»½×±äϵÊý΢·Ö·½³Ì×éµÄÊýÖµ½â¡£
ÒѾÓÐ7È˻ظ´
matlabÈçºÎÇó½â¶àÔª¶à´Î·½³Ì£¬°üÀ¨»æÍ¼
ÒѾÓÐ7È˻ظ´
matlab½â·½³Ì×éÇóÖú¹¥
ÒѾÓÐ4È˻ظ´
Matlab¶àÔª¸ß´Î·½³Ì×éµÄÇó½âÎÊÌâ
ÒѾÓÐ19È˻ظ´
ÇóÖúÓÃmatlabÄâºÏ¶¯Á¦Ñ§·½³Ì
ÒѾÓÐ13È˻ظ´
matlabÈçºÎÇó½â´ø²ÎÊýµÄÏßÐÔ·½³Ì×é
ÒѾÓÐ6È˻ظ´
ÇóÖúÓÃmatlab»òÕߣ¨1st0pt)±à³Ì½â·½³Ì×é
ÒѾÓÐ3È˻ظ´
matlab·½³ÌÇó½Ì
ÒѾÓÐ4È˻ظ´
Çë½Ì´ó¼ÒÒ»¸öMATLABµÄ·½³ÌÇó½âÎÊÌâ
ÒѾÓÐ6È˻ظ´
ÓÃmatlabÇó½â·ÇÏßÐÔ·½³Ì×é˵Î޽⣬һ¶¨ÊÇ·½³Ì×é±¾ÉíÎ޽⣬»¹ÊÇÓпÉÄܳÌÐòÓÐÎÊÌâÄØ£¿
ÒѾÓÐ11È˻ظ´
ÇóÖú£¬ÓÃmatlab½â΢·Ö·½³Ì×飬ϣÍû¸ßÊÖÄܸøÓèÖ¸µã
ÒѾÓÐ17È˻ظ´
ÇóÖú£ºmatlab½â17¸öδ֪Êý£¬17¸ö·½³Ì¡£
ÒѾÓÐ4È˻ظ´
matlab½âƫ΢·Ö·½³ÌÇóÖú
ÒѾÓÐ12È˻ظ´
MATLABÇó½â·ÇÏßÐÔ·½³Ì×é
ÒѾÓÐ5È˻ظ´
Çó¸ßÊÖ½â´ðMatlabÇó½â΢·Ö·½³ÌµÄ³õʼֵºÍ±ß½çÖµÎÊÌâ
ÒѾÓÐ5È˻ظ´
ÇóMatlab¸ßÊÖ½â¾öÏßÐÔ·½³Ì×éµÄµü´úÇó½âÎÊÌâ
ÒѾÓÐ17È˻ظ´
ÇóÖú MATLAB½â·½³Ì×é-fslove
ÒѾÓÐ7È˻ظ´
MatlabÇó½âƫ΢·Ö·½³Ì×é
ÒѾÓÐ22È˻ظ´
Çó¸ßÈËÖ¸µãÓÃmatlabÇó½â·ÇÏßÐÔ·½³Ì×飬½â¾öÁË×·¼Ó100½ð±Ò£»
ÒѾÓÐ11È˻ظ´
¡¾ÇóÖú¡¿matlab ½â¾ØÕó·½³Ì ÖØ½ðÐüÉͽâ¾ö·½°¸
ÒѾÓÐ10È˻ظ´
¡¾ÇóÖú¡¿Çó½Ìmatlab½â·ÇÏßÐÔ·½³Ì×é
ÒѾÓÐ9È˻ظ´
ÔÂÖ»À¶
Ö÷¹ÜÇø³¤ (Ö°Òµ×÷¼Ò)
-

ר¼Ò¾Ñé: +1059 - ¼ÆËãÇ¿Ìû: 8
- Ó¦Öú: 1712 (½²Ê¦)
- ¹ó±ö: 8.888
- ½ð±Ò: 68128.7
- É¢½ð: 1938
- ºì»¨: 443
- ɳ·¢: 4
- Ìû×Ó: 4373
- ÔÚÏß: 3291.4Сʱ
- ³æºÅ: 1122189
- ×¢²á: 2010-10-14
- רҵ: ÓîÖæÑ§
- ¹ÜϽ: ¼ÆËãÄ£ÄâÇø
¡¾´ð°¸¡¿Ó¦Öú»ØÌû
¸Ðл²ÎÓ룬ӦÖúÖ¸Êý +1
|
ÈôÏÞ¶¨x1=403 x2=446 n=30×óÓÒ ½öÄÜÕÒµ½Ò»°ãµÄ½â£º Ä¿±êº¯ÊýÖµ: 8.94512267343522E-5 x1: 400.003316069477 x2: 421.966847460639 n: 56.0434455220799 ²»ÏÞÖÆÎ´ÖªÊý·¶Î§ÔòÄÜÕÒµ½½ÏºÃµÄ½â£º Ä¿±êº¯ÊýÖµ: 2.71050543121376E-20 x1: 80.2313890183921 x2: 802.313890183922 n: 1.30102999566398 |

2Â¥2015-04-10 08:49:55
ÔÂÖ»À¶
Ö÷¹ÜÇø³¤ (Ö°Òµ×÷¼Ò)
-

ר¼Ò¾Ñé: +1059 - ¼ÆËãÇ¿Ìû: 8
- Ó¦Öú: 1712 (½²Ê¦)
- ¹ó±ö: 8.888
- ½ð±Ò: 68128.7
- É¢½ð: 1938
- ºì»¨: 443
- ɳ·¢: 4
- Ìû×Ó: 4373
- ÔÚÏß: 3291.4Сʱ
- ³æºÅ: 1122189
- ×¢²á: 2010-10-14
- רҵ: ÓîÖæÑ§
- ¹ÜϽ: ¼ÆËãÄ£ÄâÇø
¡¾´ð°¸¡¿Ó¦Öú»ØÌû
|
±§Ç¸£¬ÐÞÕý2Â¥µÄ˵·¨£¬ÎÒÔڽⷽ³Ìʱºò£¬°Ñ0.002д³ÉÁË0.0002£¬¸üÕýºó½á¹ûÈçÏ£º 1stopt´úÂ룺 Parameters x1,x2,n; //Variable ; Function x1/207000*3/7*(x1/433)^(n-1)-0.0001=0; x1/207000*3/7*(x2/433)^(n-1)-0.002=0; Ln(20)/Ln(x2/x1)-n=0; ¼ÆËã½á¹û£º Algorithms: Universal Global Optimation(UGO1) Function 1: x1/207000*3/7*(x1/433)^(n-1)-0.0001-(0) = 9.341412192E-6 2: x1/207000*3/7*(x2/433)^(n-1)-0.002-(0) = -2.610202075E-7 3: ln(20)/ln(x2/x1)-n-(0) = -1.573571353E-7 Objective Function (Min.): 8.72718617816277E-11 x1: 406.638344029709 x2: 444.682149647678 n: 33.4959878584276 |

3Â¥2015-04-10 09:11:40
ÔÂÖ»À¶
Ö÷¹ÜÇø³¤ (Ö°Òµ×÷¼Ò)
-

ר¼Ò¾Ñé: +1059 - ¼ÆËãÇ¿Ìû: 8
- Ó¦Öú: 1712 (½²Ê¦)
- ¹ó±ö: 8.888
- ½ð±Ò: 68128.7
- É¢½ð: 1938
- ºì»¨: 443
- ɳ·¢: 4
- Ìû×Ó: 4373
- ÔÚÏß: 3291.4Сʱ
- ³æºÅ: 1122189
- ×¢²á: 2010-10-14
- רҵ: ÓîÖæÑ§
- ¹ÜϽ: ¼ÆËãÄ£ÄâÇø
|
½âµÄ¸öÊý·½³ÌÐÎʽÓйء£ ¶ÔÓÚÄãµÄ·½³Ì¶øÑÔ£¬Ôڽϵ͵ÄÊÕÁ²ÈݲîÒªÇóÏ£¬ÔÚ²»Í¬ÊýÖµ·¶Î§´æÔÚ¶à½â¡£ÄãÈ¡Âú×ã¾ßÓÐÎïÀíÒâÒåµÄ½â¼´¿É¡£ [ ·¢×ÔСľ³æ¿Í»§¶Ë ] |

10Â¥2015-04-12 21:03:08
liseven77th
гæ (³õÈëÎÄ̳)
- Ó¦Öú: 0 (Ó×¶ùÔ°)
- ½ð±Ò: 49.8
- É¢½ð: 5
- Ìû×Ó: 36
- ÔÚÏß: 21.9Сʱ
- ³æºÅ: 3182479
- ×¢²á: 2014-05-05
- רҵ: ½á¹¹¹¤³Ì
|
¸ÐлÄãµÄ»Ø´ð¡£ ÎÒÓÃ1stoptÈí¼þ¼ÆËãÁËÒ»±é½á¹ûÈçÏ ====== ½á¹û ====== µü´úÊý: 106 ¼ÆËãÓÃʱ(ʱ:·Ö:Ãë:ºÁÃë): 00:00:01:04 ¼ÆËãÖÐÖ¹ÔÒò: ´ïµ½ÊÕÁ²Åж¨±ê×¼ ÓÅ»¯Ëã·¨: Âó¿äÌØ·¨(Levenberg-Marquardt) + ͨÓÃÈ«¾ÖÓÅ»¯·¨ º¯Êý±í´ïʽ 1: x1/207000*3/7*(x1/433)^(n-1)-0.0001-(0) 2: x1/207000*3/7*(x2/433)^(n-1)-0.002-(0) 3: ln(20)/ln(x2/x1)-n-(0) Ä¿±êº¯ÊýÖµ: 9.29374614662676E-5 x1: 31445.1779060676 x2: 2220.82781285504 n: -1.13030905578871 ====== ¼ÆËã½áÊø ====== ²îµÄºÃ¶à£¬ÄܽØÍ¼¸øÎÒ¿´Ò»ÏÂËã·¨ÉèÖõĽØÃæÂ𣿠PS£º·½³Ì2ÖеÄx1Ô±¾ÊÇx2£¬ÎÒд´íÁË£¬²»¹ý¶ÔÎÒµÄÎÊÌâ²»Ó°Ïì¡£ |
4Â¥2015-04-10 13:34:25
liseven77th
гæ (³õÈëÎÄ̳)
- Ó¦Öú: 0 (Ó×¶ùÔ°)
- ½ð±Ò: 49.8
- É¢½ð: 5
- Ìû×Ó: 36
- ÔÚÏß: 21.9Сʱ
- ³æºÅ: 3182479
- ×¢²á: 2014-05-05
- רҵ: ½á¹¹¹¤³Ì
5Â¥2015-04-10 13:42:06
liseven77th
гæ (³õÈëÎÄ̳)
- Ó¦Öú: 0 (Ó×¶ùÔ°)
- ½ð±Ò: 49.8
- É¢½ð: 5
- Ìû×Ó: 36
- ÔÚÏß: 21.9Сʱ
- ³æºÅ: 3182479
- ×¢²á: 2014-05-05
- רҵ: ½á¹¹¹¤³Ì
6Â¥2015-04-10 13:44:20
ÔÂÖ»À¶
Ö÷¹ÜÇø³¤ (Ö°Òµ×÷¼Ò)
-

ר¼Ò¾Ñé: +1059 - ¼ÆËãÇ¿Ìû: 8
- Ó¦Öú: 1712 (½²Ê¦)
- ¹ó±ö: 8.888
- ½ð±Ò: 68128.7
- É¢½ð: 1938
- ºì»¨: 443
- ɳ·¢: 4
- Ìû×Ó: 4373
- ÔÚÏß: 3291.4Сʱ
- ³æºÅ: 1122189
- ×¢²á: 2010-10-14
- רҵ: ÓîÖæÑ§
- ¹ÜϽ: ¼ÆËãÄ£ÄâÇø
¡¾´ð°¸¡¿Ó¦Öú»ØÌû
¡ï ¡ï ¡ï ¡ï ¡ï ¡ï ¡ï ¡ï ¡ï ¡ï
liseven77th: ½ð±Ò+10, ¡ï¡ï¡ï¡ï¡ï×î¼Ñ´ð°¸ 2015-04-10 22:06:25
liseven77th: ½ð±Ò+10, ¡ï¡ï¡ï¡ï¡ï×î¼Ñ´ð°¸ 2015-04-10 22:06:25
|
ÓûÇóµÃx1=403 x2=446 n=30×óÓҵĽ⣬¶Ôδ֪ÊýÏÞ¶¨·¶Î§¼´¿É£º Parameters x1[100,],x2[100,],n[30,]; //Variable ; Function x1/207000*3/7*(x1/433)^(n-1)-0.0001=0; x2/207000*3/7*(x2/433)^(n-1)-0.002=0; Ln(20)/Ln(x2/x1)-n=0; Ëã·¨ÉèÖÃĬÈϼ´¿É ¼ÆËã½á¹û£º ÓÅ»¯Ëã·¨: Âó¿äÌØ·¨(Levenberg-Marquardt) + ͨÓÃÈ«¾ÖÓÅ»¯·¨ º¯Êý±í´ïʽ 1: x1/207000*3/7*(x1/433)^(n-1)-0.0001-(0) 2: x2/207000*3/7*(x2/433)^(n-1)-0.002-(0) 3: ln(20)/ln(x2/x1)-n-(0) Ä¿±êº¯ÊýÖµ: 2.65190088855408E-12 x1: 402.479314242841 x2: 444.735331831014 n: 30.0066408207363 |

7Â¥2015-04-10 17:00:24
liseven77th
гæ (³õÈëÎÄ̳)
- Ó¦Öú: 0 (Ó×¶ùÔ°)
- ½ð±Ò: 49.8
- É¢½ð: 5
- Ìû×Ó: 36
- ÔÚÏß: 21.9Сʱ
- ³æºÅ: 3182479
- ×¢²á: 2014-05-05
- רҵ: ½á¹¹¹¤³Ì
8Â¥2015-04-10 22:06:00
liseven77th
гæ (³õÈëÎÄ̳)
- Ó¦Öú: 0 (Ó×¶ùÔ°)
- ½ð±Ò: 49.8
- É¢½ð: 5
- Ìû×Ó: 36
- ÔÚÏß: 21.9Сʱ
- ³æºÅ: 3182479
- ×¢²á: 2014-05-05
- רҵ: ½á¹¹¹¤³Ì
9Â¥2015-04-12 20:23:46














»Ø¸´´ËÂ¥