| 查看: 539 | 回复: 2 | ||
[求助]
求解一类二阶偏微分方程 已有1人参与
|
|
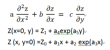
一类工程领域经常遇到的二阶偏微分方程,不知道能否能得出解析解以及在什么边界条件和初始条件下可以有解析解,对于专门搞数学的牛人们来说应该是小儿科。麻烦给出详细一点的解答。区区10币,聊表谢意。 公式.png |
» 猜你喜欢
面上项目申报
已经有3人回复
有时候真觉得大城市人没有县城人甚至个体户幸福
已经有5人回复
酰胺脱乙酰基
已经有9人回复
CSC & MSCA 博洛尼亚大学能源材料课题组博士/博士后招生|MSCA经费充足、排名优
已经有5人回复
博士延得我,科研能力直往上蹿
已经有7人回复
退学或坚持读
已经有27人回复
面上基金申报没有其他的参与者成吗
已经有5人回复
遇见不省心的家人很难过
已经有22人回复
» 本主题相关价值贴推荐,对您同样有帮助:
matlab 如何求解多元二阶微分方程组
已经有7人回复
这种偏微分方程如何求解啊?求指点
已经有20人回复
关于二阶偏微分方程求解
已经有21人回复
用fortran解一个二阶微分方程
已经有14人回复
有限差分法 第二类边界条件
已经有12人回复
非线性二阶微分方程组求解,matlab
已经有12人回复
求解二阶变系数常微分方程
已经有7人回复
偏微分方程求解!
已经有4人回复
二阶非常系数非线性微分方程求解
已经有4人回复
2阶偏微分方程的解法
已经有11人回复
非线性二阶常微分方程组+第三类边界条件
已经有17人回复
求助,matlab求解二元二阶的常微分方程组
已经有9人回复
如何用 数值解法 求 二阶微分方程的本征值
已经有18人回复
求解一个二阶偏微分方程~~有结果,但是不知道中间过程(完美解决者答谢100¥)~
已经有4人回复
二阶非线性微分方程求解
已经有14人回复
如何用matlab求解矩阵系数的二阶微分方程
已经有13人回复
这样一个偏微分方程有没有解析解?
已经有4人回复
如何求解描述振动的二阶微分方程
已经有21人回复
Matlab求解偏微分方程组
已经有22人回复
请问如何求解二元一阶微分方程组
已经有24人回复
【求助】有限元法求解二阶偏微分方程组
已经有6人回复
peterflyer
木虫之王 (文学泰斗)
peterflyer
- 数学EPI: 10
- 应助: 20282 (院士)
- 金币: 146012
- 红花: 1374
- 帖子: 93091
- 在线: 7694.3小时
- 虫号: 1482829
- 注册: 2011-11-08
- 性别: GG
- 专业: 功能陶瓷
【答案】应助回帖
★ ★ ★ ★ ★ ★ ★ ★ ★ ★
感谢参与,应助指数 +1
cugwys: 金币+10, ★★★很有帮助, 非常感谢。因为这是个实际问题 一般情况下很难得出两个x的边界条件,不知道有没有更好的解决方法,不过您的解答让人豁然开朗,自己再好好探索一下。 2015-03-07 12:12:26
感谢参与,应助指数 +1
cugwys: 金币+10, ★★★很有帮助, 非常感谢。因为这是个实际问题 一般情况下很难得出两个x的边界条件,不知道有没有更好的解决方法,不过您的解答让人豁然开朗,自己再好好探索一下。 2015-03-07 12:12:26
|
x的边界条件感觉不够。若不考虑y的因素,x的二阶方程至少要两个x的边界条件。比如PZ/Px当x=0时的情况,比如为f(y)。若Z关于x的拉式变换为U(s,y),则对方程两边关于x求拉式变换后得到: a*{s^2*U(s,y)-s*[z1+a4*exp(a5*y)]-f(y)}+b*{s*U(s,y)-[z1+a4*exp(a5*y)]} =c*dU/dy 这是一个一阶线性常系数非齐次方程,求解有专门的公式的。求出U(s,y)后,由Z(x,0)=Z0+a1*x+a2*exp(a3*x),对其求关于x的拉式变换,得到: U(s,0)=Z0/s+a1/(2*s^2)+a2/(s-a3) ,将其代入前面的U(s,y),确定其中的待定函数,然后再对其求拉式反变换,最终得到Z=Z(x,y)。 |
2楼2015-03-06 18:52:20
peterflyer
木虫之王 (文学泰斗)
peterflyer
- 数学EPI: 10
- 应助: 20282 (院士)
- 金币: 146012
- 红花: 1374
- 帖子: 93091
- 在线: 7694.3小时
- 虫号: 1482829
- 注册: 2011-11-08
- 性别: GG
- 专业: 功能陶瓷
3楼2015-03-07 13:14:04













回复此楼
