| ²é¿´: 1003 | »Ø¸´: 6 | ||
lanyu_sakula½ð³æ (СÓÐÃûÆø)
|
[ÇóÖú]
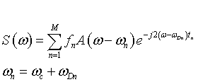
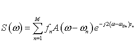
ÇóÎÊÒ»¸öº¯ÊýµÄ¸µÀïÒ¶±ä»»
|
|
|
|
||
lanyu_sakula½ð³æ (СÓÐÃûÆø)
|
||
|
2Â¥2014-12-03 16:12:25
|
|
|
lanyu_sakula½ð³æ (СÓÐÃûÆø)
|
||
|
3Â¥2014-12-08 12:59:41
|
|
|
lanyu_sakula½ð³æ (СÓÐÃûÆø)
|
||
|
4Â¥2014-12-10 10:21:49
|
|
|
zwfars½ð³æ (СÓÐÃûÆø)
|
¡ï ¡ï ¡ï ¡ï ¡ï ¡ï
Сľ³æ: ½ð±Ò+0.5, ¸ø¸öºì°ü£¬Ð»Ð»»ØÌû lanyu_sakula: ½ð±Ò+5, лл£¡ 2014-12-11 09:45:27 |
|
![]() |
||
|
5Â¥2014-12-10 15:02:09
|
|
|
lanyu_sakula½ð³æ (СÓÐÃûÆø)
|
||
|
6Â¥2014-12-11 09:47:31
|
|
|
zwfars½ð³æ (СÓÐÃûÆø)
|
¡ï ¡ï ¡ï ¡ï ¡ï ¡ï ¡ï ¡ï
Сľ³æ: ½ð±Ò+0.5, ¸ø¸öºì°ü£¬Ð»Ð»»ØÌû lanyu_sakula: ½ð±Ò+5, Ã÷°×ÁË£¬Ê®·Ö¸Ðл£¡ºÜ±§Ç¸ÏµÍ³²»Ðí°ÑÈ«²¿½ð±Ò¶¼¸øÄã¡£¡£¡£ 2014-12-11 12:47:01 lanyu_sakula(nono2009´ú·¢): ½ð±Ò+2 2014-12-11 19:31:41
|
|
![]() |
||
|
7Â¥2014-12-11 10:15:30
|
|















»Ø¸´´ËÂ¥
£¿Ñ§¹ý¸µÀïÒ¶±ä»»µÄ´óÅ£ÃÇ¿ìÀ´°¡£¡ 