| ²é¿´: 3175 | »Ø¸´: 13 | ||
babyleoÌú³æ (³õÈëÎÄ̳)
|
[ÇóÖú]
ÇóÖú£º³¬Ô½·½³ÌµÄ½â·¨ ÒÑÓÐ4È˲ÎÓë
|
|
|
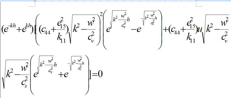
¾ÍÊÇÕâ¸ö·½³Ì£¬ÆäÖоÍÖ»ÓÐwÊÇδ֪Êý£¬¶øÇÒÎÒÖªµÀwµÄ·¶Î§ ÒÔÏÂÊÇmatlabµÄ³ÌÐò£º clc;clear; c44=2.56e+10; e15=12.7; k11=64.6e-10; p=7500; u=2.65e+10; pm=2706; h=0.001; cv=sqrt(0.674e+7); cs=sqrt(0.979e+7); K=10£¬WÔÚ£¨8210,9894£©·¶Î§ÄÚ AA=(exp(-10*h)+exp(10*h))*(((c44+e15^2/k11)*sqrt(100-x^2/cv^2))^2*(exp(h*sqrt(100-x^2/cv^2))-exp(-h*sqrt(100-x^2/cv^2)))+(c44+e15^2/k11)*u*sqrt(100-x^2/cv^2)*sqrt(100-x^2/cs^2)*(exp(h*sqrt(100-x^2/cv^2))+exp(-h*sqrt(100-x^2/cv^2)))) ÒªÇów£¬ÇÒwÊǶà½âµÄ£¡£¡ |
» ²ÂÄãϲ»¶
085600²ÄÁÏÓ뻯¹¤301·ÖÇóµ÷¼ÁԺУ
ÒѾÓÐ5È˻ظ´
081700£¬311£¬Çóµ÷¼Á
ÒѾÓÐ15È˻ظ´
Ò»Ö¾Ô¸±±¾©»¯¹¤085600 310·ÖÇóµ÷¼Á
ÒѾÓÐ18È˻ظ´
²ÄÁÏÓ뻯¹¤371Çóµ÷¼Á
ÒѾÓÐ14È˻ظ´
336²ÄÁÏÓ뻯¹¤085600Çóµ÷¼Á
ÒѾÓÐ7È˻ظ´
²ÄÁÏ334Çóµ÷¼Á
ÒѾÓÐ18È˻ظ´
331Çóµ÷¼Á
ÒѾÓÐ8È˻ظ´
332Çóµ÷¼Á
ÒѾÓÐ17È˻ظ´
Ò»Ö¾Ô¸ÄϾ©º½¿Õº½Ìì´óѧ ²ÄÁÏÓ뻯¹¤329·ÖÇóµ÷¼Á
ÒѾÓÐ4È˻ظ´
²ÄÁÏר˶322
ÒѾÓÐ7È˻ظ´
» ±¾Ö÷ÌâÏà¹Ø¼ÛÖµÌùÍÆ¼ö£¬¶ÔÄúͬÑùÓаïÖú:
¸ßÊý¹ØÓÚ²»ÏÔº¬xºÍyµÄ΢·Ö·½³ÌÇó½â£¿
ÒѾÓÐ8È˻ظ´
ÊýÁ¿¹ØÏµ½â·¨ÇóÖú
ÒѾÓÐ3È˻ظ´
Ò»Ôª¸ß´Î·½³Ì×é½â·¨
ÒѾÓÐ7È˻ظ´
ÇóÖú£ºº¬¶à¸öδ֪ϵÊýµÄÏßÐÔ/¾ØÕó·½³Ì×éµÄ½â·¨
ÒѾÓÐ4È˻ظ´
ÈçºÎÓÃMATLABÇó½âÂö³å΢·Ö·½³Ì²¢»Í¼
ÒѾÓÐ5È˻ظ´
fortranÑ»·ÇóÖú
ÒѾÓÐ3È˻ظ´
ÓÃfortran³ÌÐòÒÅ´«Ëã·¨½â·ÇÏßÐÔ·½³Ì×é
ÒѾÓÐ7È˻ظ´
Õâ¸ö·½³Ì×éÔõô½â°¡
ÒѾÓÐ14È˻ظ´
ÇóÖúÓйØÓڹⲨµç´Å³¡µÄÇó½â
ÒѾÓÐ4È˻ظ´
ÈçºÎÇó½âÏÂÁз½³Ì£ºxlnx=a(x-b)
ÒѾÓÐ14È˻ظ´
¸÷λÅóÓÑ£¬ÈçºÎÓÃmatlab±àдÕâ¸ö·½³Ì£¬²¢Çó½â£¿
ÒѾÓÐ15È˻ظ´
º¯ÊýÇ󵼺󣬲»»á½â£¬ÇóÖú´óÏÀ£¡
ÒѾÓÐ5È˻ظ´
ÇóÖú½âÒ»µÀ¸ßÖÐÊýѧ·½³ÌÌâ
ÒѾÓÐ8È˻ظ´
¡¾ÇóÖú¡¿°ïæÇó½âÒ»¸öÒ»ÔªËĴη½³Ì
ÒѾÓÐ9È˻ظ´
MATLAB½â·½³Ì³öÏÖ??? Subscripted assignment dimension mismatch.
ÒѾÓÐ3È˻ظ´
¡¾ÇóÖú¡¿ÇóÒ»¸ö½×ÌÝÏßÐÔ·ÇÆë´Î΢·Ö·½³ÌµÄ½â£¨ÄÚº¬mathmatic¼ÆËã½á¹û£©
ÒѾÓÐ6È˻ظ´
¡¾ÇóÖú¡¿¸´³¬Ô½·½³ÌµÄ½â·¨
ÒѾÓÐ19È˻ظ´
¡¾ÇóÖú¡¿Æ«Î¢·Ö·½³Ì½â·¨
ÒѾÓÐ19È˻ظ´
zhioy
Òø³æ (³õÈëÎÄ̳)
- Ó¦Öú: 1 (Ó×¶ùÔ°)
- ½ð±Ò: 422.4
- ºì»¨: 2
- Ìû×Ó: 19
- ÔÚÏß: 25.6Сʱ
- ³æºÅ: 3217292
- ×¢²á: 2014-05-19
- ÐÔ±ð: GG
- רҵ: Äý¾Û̬ÎïÐÔ II £ºµç×ӽṹ
¡¾´ð°¸¡¿Ó¦Öú»ØÌû
¡ï ¡ï ¡ï
babyleo: ½ð±Ò+3, ¡ï¡ï¡ïºÜÓаïÖú, ·Ç³£¸ÐлÄ㣬ÎÒÏÖÔÚÊÔ×Åת»»ËüµÄÐÎʽ£¬ÓÐÎÊÌâµÄ»°»¹ÏëÇë½ÌÄã 2014-09-30 17:14:23
babyleo: ½ð±Ò+3, ¡ï¡ï¡ïºÜÓаïÖú, ·Ç³£¸ÐлÄ㣬ÎÒÏÖÔÚÊÔ×Åת»»ËüµÄÐÎʽ£¬ÓÐÎÊÌâµÄ»°»¹ÏëÇë½ÌÄã 2014-09-30 17:14:23
| °Ñº¬ÓÐÖ¸ÊýµÄ²¿·Ö·Åµ½Óұߣ¬ÆäËûµÄ·Åµ½×ó±ß£¬ÄÇôÓұ߾ÍÊÇtanhº¯Êý£¬×ó±ßÊÇ2¸ö¸ùºÅÏà³ý¡£°ÑÖ¸Êý²¿·ÖµÄÃÝÖ¸ÊýÓÃеıäÁ¿´úÌæ£¬·½³Ì±äΪa*sqrt(x^2/(x^2+b))=tanh(x)ÐÎʽ£¬×ö³öÇúÏ߹۲콻µã¿ÉÒÔÕÒµ½½â£¬Èç¹û¶Ô¾«¶ÈÓÐÒªÇó¿ÉÒÔ¿¼ÂÇÓÃÅ£¶Ù¶þ·Ö·¨½øÐбƽü£¬ÕÒµ½xºóÔÙÇók¾ÍºÜÈÝÒ×ÁË¡££¨Èç¹ûÄ㿼ÂÇÖ¸Êý²¿·Ö¿ÉÄܳöÏÖÐéÊý£¬ÄÇôtanh½«±ä³Étan£¬ÀàËÆ¿ÉÒÔÇó½â£© |

11Â¥2014-09-29 10:27:35
babyleo
Ìú³æ (³õÈëÎÄ̳)
- Ó¦Öú: 0 (Ó×¶ùÔ°)
- ½ð±Ò: 445.1
- Ìû×Ó: 28
- ÔÚÏß: 11.9Сʱ
- ³æºÅ: 2044459
- ×¢²á: 2012-10-05
- ÐÔ±ð: GG
- רҵ: Á¦Ñ§ÖеĻù±¾ÎÊÌâºÍ·½·¨
2Â¥2014-09-25 11:41:19
ifelseend
¾èÖú¹ó±ö (ÖøÃûдÊÖ)
СÃÛ·ä
- Ó¦Öú: 32 (СѧÉú)
- ½ð±Ò: 280.2
- É¢½ð: 1839
- ºì»¨: 17
- Ìû×Ó: 1589
- ÔÚÏß: 212.9Сʱ
- ³æºÅ: 1792988
- ×¢²á: 2012-05-03
- רҵ: Ô×ӺͷÖ×ÓÎïÀí

3Â¥2014-09-25 11:45:04
ÄäÃû
Óû§×¢Ïú (Ö°Òµ×÷¼Ò)
Matlabר¼Ò
- Ó¦Öú: 223 (´óѧÉú)
- ½ð±Ò: 2891.3
- É¢½ð: 5302
- ºì»¨: 59
- ɳ·¢: 10
- Ìû×Ó: 3308
- ÔÚÏß: 945Сʱ
- ³æºÅ: 0
- ×¢²á: 2012-05-01
- ÐÔ±ð: GG
- רҵ: Á¦Ñ§
4Â¥2014-09-25 13:24:50
peterflyer
ľ³æÖ®Íõ (ÎÄѧ̩¶·)
peterflyer
- ÎïÀíEPI: 1
- Ó¦Öú: 20282 (Ժʿ)
- ½ð±Ò: 146220
- ºì»¨: 1374
- Ìû×Ó: 93091
- ÔÚÏß: 7694.3Сʱ
- ³æºÅ: 1482829
- ×¢²á: 2011-11-08
- ÐÔ±ð: GG
- רҵ: ¹¦ÄÜÌÕ´É
5Â¥2014-09-25 16:28:49
babyleo
Ìú³æ (³õÈëÎÄ̳)
- Ó¦Öú: 0 (Ó×¶ùÔ°)
- ½ð±Ò: 445.1
- Ìû×Ó: 28
- ÔÚÏß: 11.9Сʱ
- ³æºÅ: 2044459
- ×¢²á: 2012-10-05
- ÐÔ±ð: GG
- רҵ: Á¦Ñ§ÖеĻù±¾ÎÊÌâºÍ·½·¨
|
²»ºÃÒâ˼£¬ÎÒ·¢ÌûµÄʱºòÌ«×ż±£¬Ò»ÏÂ×ÓŪ´í·½³ÌÁË£¬ÎÊÌâÊÇÕâÑùµÄ£º c44=2.56e+10; e15=12.7; k11=64.6e-10; p=7500; u=2.65e+10; pm=2706; h=0.001; cv=sqrt(0.674e+7); cs=sqrt(0.979e+7); K=10£¬WÔÚ£¨8210,9894£©·¶Î§ÄÚ ËùÒªÇóµÄ¹«Ê½ÊÇÕâ¸ö£º exp(-10*h)+exp(10*h))(((c44+e15^2/k11)*sqrt(100-w^2/cv^2))^2*(exp(h*sqrt(100-w^2/cv^2))-exp(-h*sqrt(100-w^2/cv^2)))+(c44+e15^2/k11)*u*sqrt(100-w^2/cv^2)*sqrt(100-w^2/cs^2)*(exp(h*sqrt(100-w^2/cv^2))+exp(-h*sqrt(100-w^2/cv^2)))) ÀïÃæ¾ÍÖ»ÓÐwÊÇδ֪Êý£¬µ«ÊÇ¿ÉÄÜ»áÓÐ4µ½5¸ö½â |
6Â¥2014-09-25 17:08:23
babyleo
Ìú³æ (³õÈëÎÄ̳)
- Ó¦Öú: 0 (Ó×¶ùÔ°)
- ½ð±Ò: 445.1
- Ìû×Ó: 28
- ÔÚÏß: 11.9Сʱ
- ³æºÅ: 2044459
- ×¢²á: 2012-10-05
- ÐÔ±ð: GG
- רҵ: Á¦Ñ§ÖеĻù±¾ÎÊÌâºÍ·½·¨
7Â¥2014-09-25 17:11:56
peterflyer
ľ³æÖ®Íõ (ÎÄѧ̩¶·)
peterflyer
- ÎïÀíEPI: 1
- Ó¦Öú: 20282 (Ժʿ)
- ½ð±Ò: 146220
- ºì»¨: 1374
- Ìû×Ó: 93091
- ÔÚÏß: 7694.3Сʱ
- ³æºÅ: 1482829
- ×¢²á: 2011-11-08
- ÐÔ±ð: GG
- רҵ: ¹¦ÄÜÌÕ´É
8Â¥2014-09-25 17:21:30
ÄäÃû
Óû§×¢Ïú (Ö°Òµ×÷¼Ò)
Matlabר¼Ò
- Ó¦Öú: 223 (´óѧÉú)
- ½ð±Ò: 2891.3
- É¢½ð: 5302
- ºì»¨: 59
- ɳ·¢: 10
- Ìû×Ó: 3308
- ÔÚÏß: 945Сʱ
- ³æºÅ: 0
- ×¢²á: 2012-05-01
- ÐÔ±ð: GG
- רҵ: Á¦Ñ§
9Â¥2014-09-25 17:35:13
ÄäÃû
Óû§×¢Ïú (Ö°Òµ×÷¼Ò)
Matlabר¼Ò
- Ó¦Öú: 223 (´óѧÉú)
- ½ð±Ò: 2891.3
- É¢½ð: 5302
- ºì»¨: 59
- ɳ·¢: 10
- Ìû×Ó: 3308
- ÔÚÏß: 945Сʱ
- ³æºÅ: 0
- ×¢²á: 2012-05-01
- ÐÔ±ð: GG
- רҵ: Á¦Ñ§
10Â¥2014-09-25 17:36:23














»Ø¸´´ËÂ¥
