²é¿´: 1284  |  »Ø¸´: 5

Ifany

½ð³æ (СÓÐÃûÆø)

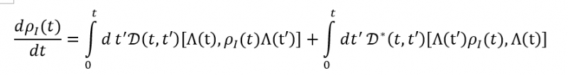
[ÇóÖú] ÇëÎÊÕâ¸ö΢·Ö·½³ÌÔõô½â£¬Óұ߻ý·Öº¯ÊýÖб»»ýº¯ÊýÊDz»ÊÇ1 ÒÑÓÐ1È˲ÎÓë

·½³ÌÈçÏÂ

ÇëÎÊÕâ¸ö΢·Ö·½³ÌÔõô½â£¬Óұ߻ý·Öº¯ÊýÖб»»ýº¯ÊýÊDz»ÊÇ1

ÎÊÌ⣺
a, ±»»ýº¯ÊýÊDz»ÊÇ1£¬»¹ÊÇ˵t'ºóÃæÄÇÛçÊDZ»»ýº¯Êý£¿
b, ÄǸöt'ÊÇÁíÒ»¸ö±äÁ¿Âð£¬Õâ»õÊÇÆ«Î¢·Ö·½³ÌÂð£¿
c, Õâ»õÓÃmatlabÔõô½â£¿

лл´ó¼Ò£¡
»Ø¸´´ËÂ¥

» ²ÂÄãϲ»¶

» ±¾Ö÷ÌâÏà¹Ø¼ÛÖµÌùÍÆ¼ö£¬¶ÔÄúͬÑùÓаïÖú:

ÒÑÔÄ   »Ø¸´´ËÂ¥   ¹Ø×¢TA ¸øTA·¢ÏûÏ¢ ËÍTAºì»¨ TAµÄ»ØÌû

Ifany

½ð³æ (СÓÐÃûÆø)

ºÜ׿±£¬£¬£¬È˹¤¶¥Ò»Ï¡£¡£¡£
2Â¥2014-05-10 10:43:10
ÒÑÔÄ   »Ø¸´´ËÂ¥   ¹Ø×¢TA ¸øTA·¢ÏûÏ¢ ËÍTAºì»¨ TAµÄ»ØÌû

yang200258

½ð³æ (СÓÐÃûÆø)

¡¾´ð°¸¡¿Ó¦Öú»ØÌû

¸Ðл²ÎÓ룬ӦÖúÖ¸Êý +1
ÒýÓûØÌû:
2Â¥: Originally posted by Ifany at 2014-05-10 10:43:10
ºÜ׿±£¬£¬£¬È˹¤¶¥Ò»Ï¡£¡£¡£

Äã¿ÉÒÔÍøÉϲéÒ»ÏÂÓÃmatlabÈçºÎÇó½âƫ΢·Ö·½³Ì¡£¡£È»ºó¿ÉÄÜÐèÒª±à³ÌµÄ»°¸ù¾ÝÌáʾ°´²½ÖèÀ´¾ÍÐС£

[ ·¢×ÔСľ³æ¿Í»§¶Ë ]
3Â¥2014-05-10 10:52:01
ÒÑÔÄ   »Ø¸´´ËÂ¥   ¹Ø×¢TA ¸øTA·¢ÏûÏ¢ ËÍTAºì»¨ TAµÄ»ØÌû

Ifany

½ð³æ (СÓÐÃûÆø)

ÒýÓûØÌû:
3Â¥: Originally posted by yang200258 at 2014-05-10 10:52:01
Äã¿ÉÒÔÍøÉϲéÒ»ÏÂÓÃmatlabÈçºÎÇó½âƫ΢·Ö·½³Ì¡£¡£È»ºó¿ÉÄÜÐèÒª±à³ÌµÄ»°¸ù¾ÝÌáʾ°´²½ÖèÀ´¾ÍÐС£
...

ÎÊÌâ a bΪ½â¾ö ÎÞ´ÓÏÂÊÖ°¡
È·¶¨ab´ð°¸ÁË ²ÅºÃ¶ÔÖ¢ÏÂÒ©°¡¡£¡£¡£
ÏÖÔÚ¾ÍÊDz»Çå³þ±»»ýº¯ÊýÊDz»ÊÇ1 ºóÃæÄÇÛçµ½µ×ÊÇɶ
4Â¥2014-05-10 11:09:55
ÒÑÔÄ   »Ø¸´´ËÂ¥   ¹Ø×¢TA ¸øTA·¢ÏûÏ¢ ËÍTAºì»¨ TAµÄ»ØÌû

yang200258

½ð³æ (СÓÐÃûÆø)

¡¾´ð°¸¡¿Ó¦Öú»ØÌû

ÒýÓûØÌû:
4Â¥: Originally posted by Ifany at 2014-05-10 11:09:55
ÎÊÌâ a bΪ½â¾ö ÎÞ´ÓÏÂÊÖ°¡
È·¶¨ab´ð°¸ÁË ²ÅºÃ¶ÔÖ¢ÏÂÒ©°¡¡£¡£¡£
ÏÖÔÚ¾ÍÊDz»Çå³þ±»»ýº¯ÊýÊDz»ÊÇ1 ºóÃæÄÇÛçµ½µ×ÊÇɶ...

±»»ýº¯Êý²»ÊÇ1£¬ÒòΪ»ý·Ö±äÁ¿ÊÇt¡¯£¬ºóÃæµÄÊÇÓйØt¡¯µÄº¯Êý¡£¡£

[ ·¢×ÔСľ³æ¿Í»§¶Ë ]
5Â¥2014-05-10 13:32:26
ÒÑÔÄ   »Ø¸´´ËÂ¥   ¹Ø×¢TA ¸øTA·¢ÏûÏ¢ ËÍTAºì»¨ TAµÄ»ØÌû

Ifany

½ð³æ (СÓÐÃûÆø)

ÒýÓûØÌû:
5Â¥: Originally posted by yang200258 at 2014-05-10 13:32:26
±»»ýº¯Êý²»ÊÇ1£¬ÒòΪ»ý·Ö±äÁ¿ÊÇt¡¯£¬ºóÃæµÄÊÇÓйØt¡¯µÄº¯Êý¡£¡£
...

ÄãÒâ˼ÊǵȼÛÓÚ
ÇëÎÊÕâ¸ö΢·Ö·½³ÌÔõô½â£¬Óұ߻ý·Öº¯ÊýÖб»»ýº¯ÊýÊDz»ÊÇ1-1
Õâ¸öʽ×ÓÊÇÂð
6Â¥2014-05-10 14:05:29
ÒÑÔÄ   »Ø¸´´ËÂ¥   ¹Ø×¢TA ¸øTA·¢ÏûÏ¢ ËÍTAºì»¨ TAµÄ»ØÌû
Ïà¹Ø°æ¿éÌø×ª ÎÒÒª¶©ÔÄÂ¥Ö÷ Ifany µÄÖ÷Ìâ¸üÐÂ
×î¾ßÈËÆøÈÈÌûÍÆ¼ö [²é¿´È«²¿] ×÷Õß »Ø/¿´ ×îºó·¢±í
[¿¼ÑÐ] ²ÄÁÏר˶306Ó¢Ò»Êý¶þ +4 z1z2z3879 2026-03-16 6/300 2026-03-16 19:38 by z1z2z3879
[¿¼ÑÐ] Áº³ÉΰÀÏʦ¿ÎÌâ×é»¶Ó­ÄãµÄ¼ÓÈë +8 һѼѼӴ 2026-03-14 9/450 2026-03-16 17:35 by ãåÁØ12138
[¿¼ÑÐ] 326Çóµ÷¼Á +4 ŵ±´¶û»¯Ñ§½±êéê 2026-03-15 7/350 2026-03-16 17:11 by ŵ±´¶û»¯Ñ§½±êéê
[»ù½ðÉêÇë] ½ñÄêµÄ¹ú»ù½ðÊÇ´ò·ÖÖÆÂ𣿠50+3 zhanghaozhu 2026-03-14 3/150 2026-03-16 17:07 by ±±¾©À³ÒðÈóÉ«
[¿¼ÑÐ] Ò»Ö¾Ô¸211 0703·½Ïò310·ÖÇóµ÷¼Á +3 ŬÁ¦·Ü¶·112 2026-03-15 3/150 2026-03-16 16:44 by houyaoxu
[¿¼ÑÐ] 085600µ÷¼Á +5 ÑúÑú123sun 2026-03-12 6/300 2026-03-16 15:58 by ÑúÑú123sun
[˶²©¼ÒÔ°] ÉîÛÚ´óѧ˶ʿÕÐÉú£¨2026Ç´«¸ÐÆ÷·½Ïò£¬½ö¼ȡµÚÒ»Ö¾Ô¸£© +4 xujiaoszu 2026-03-11 8/400 2026-03-16 09:45 by xujiaoszu
[¿¼ÑÐ] 326Çóµ÷¼Á +4 Éϰ¶µÄСÆÏ 2026-03-15 5/250 2026-03-16 08:39 by Linda Hu
[¿¼²©] ¶«»ªÀí¹¤´óѧ»¯²Äרҵ26½ì˶ʿ²©Ê¿ÉêÇë +6 zlingli 2026-03-13 6/300 2026-03-15 20:00 by ryzcf
[¿¼ÑÐ] 274Çóµ÷¼Á +4 ʱ¼äµã 2026-03-13 4/200 2026-03-15 15:29 by Rambo13
[¿¼ÑÐ] 290Çóµ÷¼Á +4 @½«¾Í½«¾Í¿´ 2026-03-10 8/400 2026-03-14 14:23 by ǧǧÔËÆø
[¿¼ÑÐ] »·¾³µ÷¼Á +6 Ïþ¿´Ììĺ¿´ÔÆ 2026-03-09 6/300 2026-03-14 01:16 by JourneyLucky
[¿¼ÑÐ] ¿¼ÑвÄÁÏÓ뻯¹¤£¬Çóµ÷¼Á +8 Ï·¾«µ¤µ¤µ¤ 2026-03-09 8/400 2026-03-14 01:14 by JourneyLucky
[¿¼ÑÐ] ¡¾¿¼Ñе÷¼ÁÇóÊÕÁô¡¿ +3 Ceciilia 2026-03-11 3/150 2026-03-13 20:18 by JourneyLucky
[¿¼ÑÐ] 307Çóµ÷¼Á +5 ³¬¼¶ÒÁ°º´óÍõ 2026-03-12 5/250 2026-03-13 15:56 by °ô°ôÇòÊÖ
[¿¼ÑÐ] 290Çóµ÷¼Á +7 ADT 2026-03-12 7/350 2026-03-13 15:17 by JourneyLucky
[¿¼ÑÐ] 0856»¯¹¤Ô­Àí +6 z2839474511 2026-03-10 6/300 2026-03-13 10:41 by houyaoxu
[¿¼ÑÐ] 279Çóµ÷¼Á +3 Īxiao 2026-03-10 4/200 2026-03-11 08:06 by Õ¶»êµÎÍÃ×Ó£¡
[¿¼ÑÐ] »¯¹¤0817µ÷¼Á +8 ²ÓÈôÐdz¿ 2026-03-10 8/400 2026-03-10 22:44 by ÐÇ¿ÕÐÇÔÂ
[¿¼²©] 26É격ÇóÖú +3 ÌøÔ¾±ý¸É 2026-03-10 4/200 2026-03-10 21:15 by Tntcnn
ÐÅÏ¢Ìáʾ
ÇëÌî´¦ÀíÒâ¼û