| 查看: 1642 | 回复: 11 | ||
[求助]
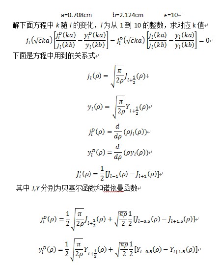
求帮忙,关于含有bessel函数的方程的编程求解问题
|
||
|
|
||
fengsj9898捐助贵宾 (正式写手)
|
【答案】应助回帖
★ ★
xzhdty(金币+2): 欢迎常来程序语言看看 2011-07-14 15:41:58 watertxf(金币+5): 您好!能不能麻烦您在跟我详细说一下? 2011-07-15 14:07:49
|
|
|
2楼2011-07-14 11:57:37
|
|
|
|
3楼2011-07-14 12:24:46
|
|
|
|
4楼2011-07-14 14:20:49
|
|
|
|
5楼2011-07-14 14:38:35
|
|
|
|
6楼2011-07-14 14:40:37
|
|
|
fengsj9898捐助贵宾 (正式写手)
|
||
|
7楼2011-07-19 13:08:29
|
|
|
fengsj9898捐助贵宾 (正式写手)
|
★ ★
余泽成(金币+2): 辛苦了,暑假愉快! 2011-08-18 17:04:33
|
|
|
8楼2011-07-19 13:09:39
|
|
|
|
9楼2011-08-18 11:08:48
|
|
|
|
10楼2011-08-18 11:24:28
|
|














回复此楼
