²é¿´: 669  |  »Ø¸´: 0

pinksuper

гæ (СÓÐÃûÆø)

[ÇóÖú] ÏßÐÔÆ«Î¢·Ö¶þ½×·½³ÌÇó½â

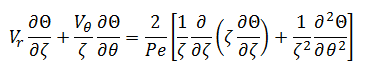
Çë½Ì¸÷λ´óÅ££¬ÏñÏÂÃæÕâÑùµÄ¶þ½×ƫ΢·Ö·½³ÌÔõô½â£¿Ð»Ð»¸÷λ
PeÊdz£Êý
ÏßÐÔÆ«Î¢·Ö¶þ½×·½³ÌÇó½â
1.png


ÏßÐÔÆ«Î¢·Ö¶þ½×·½³ÌÇó½â-1
2.png
»Ø¸´´ËÂ¥
ÒÑÔÄ   »Ø¸´´ËÂ¥   ¹Ø×¢TA ¸øTA·¢ÏûÏ¢ ËÍTAºì»¨ TAµÄ»ØÌû

ÖÇÄÜ»úÆ÷ÈË

Robot (super robot)

ÎÒÃǶ¼°®Ð¡Ä¾³æ

ÕÒµ½Ò»Ð©Ïà¹ØµÄ¾«»ªÌû×Ó£¬Ï£ÍûÓÐÓÃŶ~

¿ÆÑдÓСľ³æ¿ªÊ¼£¬ÈËÈËΪÎÒ£¬ÎÒΪÈËÈË
Ïà¹Ø°æ¿éÌø×ª ÎÒÒª¶©ÔÄÂ¥Ö÷ pinksuper µÄÖ÷Ìâ¸üÐÂ
×î¾ßÈËÆøÈÈÌûÍÆ¼ö [²é¿´È«²¿] ×÷Õß »Ø/¿´ ×îºó·¢±í
[¿¼ÑÐ] 0856µ÷¼Á£¬ÊÇѧУ¾ÍÈ¥ +4 sllhht 2026-03-19 5/250 2026-03-19 17:45 by ÐÇ¿ÕÐÇÔÂ
[¿¼ÑÐ] 0817 »¯Ñ§¹¤³Ì 299·ÖÇóµ÷¼Á ÓпÆÑо­Àú ÓжþÇøÎÄÕ +13 rare12345 2026-03-18 13/650 2026-03-19 17:30 by jean5056
[¿¼ÑÐ] 324·Ö 085600²ÄÁÏ»¯¹¤Çóµ÷¼Á +3 llllkkkhh 2026-03-18 3/150 2026-03-19 14:22 by houyaoxu
[¿¼ÑÐ] Ò»Ö¾Ô¸¸£´ó288Óлú»¯Ñ§£¬Çóµ÷¼Á +3 Сľ³æ200408204 2026-03-18 3/150 2026-03-19 13:31 by houyaoxu
[¿¼ÑÐ] 332Çóµ÷¼Á +3 ydfyh 2026-03-17 3/150 2026-03-19 10:14 by ¹¦·ò·è¿ñ
[¿¼ÑÐ] ±¾¿ÆÖ£ÖÝ´óѧÎïÀíѧԺ£¬Ò»Ö¾Ô¸»ª¿Æ070200ѧ˶£¬346Çóµ÷¼Á +4 ÎÒ²»ÊÇÒ»¸ù´Ð 2026-03-18 4/200 2026-03-19 09:11 by ¸¡ÔÆ166
[¿¼ÑÐ] 085700×ÊÔ´Óë»·¾³308Çóµ÷¼Á +3 īīĮ 2026-03-18 3/150 2026-03-18 22:35 by bingxueer79
[¿¼ÑÐ] 297Çóµ÷¼Á +8 Ï·¾«µ¤µ¤µ¤ 2026-03-17 8/400 2026-03-18 14:30 by laoshidan
[¿¼ÑÐ] 312Çóµ÷¼Á +8 İå·Ï£ 2026-03-16 9/450 2026-03-18 12:39 by Linda Hu
[¿¼ÑÐ] 303Çóµ÷¼Á +4 î£08 2026-03-17 6/300 2026-03-18 11:01 by Iveryant
[¿¼²©] 26²©Ê¿ÉêÇë +3 1042136743 2026-03-17 3/150 2026-03-17 23:30 by ÇáËɲ»ÉÙËæ
[¿¼ÑÐ] ²ÄÁÏר˶326Çóµ÷¼Á +6 Ä«ìÏæ¦Ý· 2026-03-15 7/350 2026-03-17 17:10 by ruiyingmiao
[¿¼ÑÐ] 302Çóµ÷¼Á +4 С¼Öͬѧ123 2026-03-15 8/400 2026-03-17 10:33 by С¼Öͬѧ123
[¿¼ÑÐ] [µ¼Ê¦ÍƼö]Î÷ÄϿƼ¼´óѧ¹ú·À/²ÄÁϵ¼Ê¦ÍƼö +3 ¼â½ÇСºÉ 2026-03-16 6/300 2026-03-16 23:21 by ¼â½ÇСºÉ
[¿¼ÑÐ] 326Çóµ÷¼Á +4 ŵ±´¶û»¯Ñ§½±êéê 2026-03-15 7/350 2026-03-16 17:11 by ŵ±´¶û»¯Ñ§½±êéê
[¿¼ÑÐ] 0703 ÎïÀí»¯Ñ§µ÷¼Á +3 ÎÒ¿ÉÒÔÉϰ¶µÄ¶Ô 2026-03-13 5/250 2026-03-16 10:50 by ÎÒ¿ÉÒÔÉϰ¶µÄ¶ÔÂ
[¿¼ÑÐ] 0703»¯Ñ§µ÷¼Á 290·ÖÓпÆÑо­Àú£¬ÂÛÎÄÔÚͶ +7 ÄåÄågk 2026-03-14 7/350 2026-03-16 10:12 by houyaoxu
[¿¼ÑÐ] ²ÄÁÏÓ뻯¹¤ 323 Ó¢Ò»+Êý¶þ+Îﻯ£¬Ò»Ö¾Ô¸£º¹þ¹¤´ó ±¾È˱¾¿ÆË«Ò»Á÷ +4 ×ÔÓɵÄ_·ÉÏè 2026-03-13 5/250 2026-03-14 19:39 by hmn_wj
[¿¼ÑÐ] 289Çóµ÷¼Á +4 ÕâôÃû×ÖÕ¦Ñù 2026-03-14 6/300 2026-03-14 18:58 by userper
[¿¼ÑÐ] 290Çóµ÷¼Á +3 ADT 2026-03-13 3/150 2026-03-13 10:19 by peike
ÐÅÏ¢Ìáʾ
ÇëÌî´¦ÀíÒâ¼û