| 查看: 1105 | 回复: 8 | |||
月空星痕金虫 (小有名气)
|
[求助]
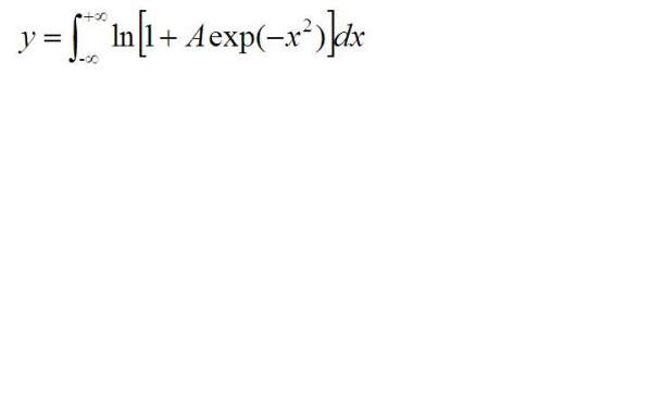
求助此积分如何求解
|
||
![]() |
|||
|
|
|||
lzz654321木虫 (著名写手)
凑活
|
|||
|
2楼2013-11-06 17:58:53
|
|
||
月空星痕金虫 (小有名气)
|
|||
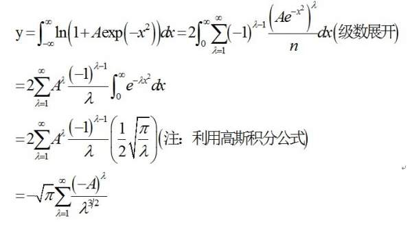
![]() |
|||
|
3楼2013-11-06 22:01:02
|
|
||
hank612至尊木虫 (著名写手)
|
【答案】应助回帖
感谢参与,应助指数 +1
|
||
![]() |
|||
|
4楼2013-11-07 04:19:48
|
|
||
莲动波光浩月木虫 (小有名气)
|
|||
|
5楼2013-11-07 10:02:58
|
|
||
feixiaolin荣誉版主 (文坛精英)
|
|||
|
6楼2013-11-07 10:34:12
|
|
||
hank612至尊木虫 (著名写手)
|
|||
![]() |
|||
|
7楼2013-11-07 10:35:27
|
|
||
lzz654321木虫 (著名写手)
凑活
|
|||
|
8楼2013-11-07 10:41:12
|
|
||
lzz654321木虫 (著名写手)
凑活
|
|||
|
9楼2013-11-07 10:44:24
|
|













回复此楼
