| ²é¿´: 1273 | »Ø¸´: 10 | |||
kuntenghunyaÌú³æ (³õÈëÎÄ̳)
|
[ÇóÖú]
ÌØÕ÷·½³ÌÇó½â
|
±±´ó¿ÆÑзÖÏí |
» ²ÂÄãϲ»¶
Çóµ÷¼Á
ÒѾÓÐ0È˻ظ´
0702Ò»Ö¾Ô¸¼ª´óBÇøÇóµ÷¼ÁÓÐÂÛÎÄ
ÒѾÓÐ0È˻ظ´
ÎïÀíѧIÂÛÎÄÈóÉ«/·ÒëÔõôÊÕ·Ñ?
ÒѾÓÐ226È˻ظ´
ÇëÎÊ»¹ÓÐûÓÐÓÃLatexдÎÄÕµÄС»ï°éÃÇ£¿
ÒѾÓÐ0È˻ظ´
¹âѧ¹¤³Ìѧ˶µ÷¼ÁÐÅÏ¢
ÒѾÓÐ32È˻ظ´
»¶Ó¼ÓÈë¿ÎÌâ×é
ÒѾÓÐ0È˻ظ´
É¢½ð±Ò£¬ÇóºÃÔË£¬×£ÃæÉÏ˳Àû£¡
ÒѾÓÐ76È˻ظ´
»ª¶«Ê¦·¶´óѧоƬÉè¼ÆÐìççÕæÊµË®Æ½Õ¦Ñù
ÒѾÓÐ1È˻ظ´
µ÷¼Á
ÒѾÓÐ0È˻ظ´
¡¾ÐÂ¼ÓÆÂ¡¿ÄÉÃ×µç×ÓÆ÷¼þÏîÄ¿×éÓС°ÁªºÏÅàÑø²©Ê¿Éú¡±Ãû¶î
ÒѾÓÐ0È˻ظ´
Öе²©Ê¿ºó2026ÏîÄ¿5ÔÂ30ÈÕ½ØÖ¹- ¹úÄÚ²©Ê¿ºóÈëÕ¾¡¢µÂ¹úÁ½Äêȫְ
ÒѾÓÐ0È˻ظ´
» ±¾Ö÷ÌâÏà¹Ø¼ÛÖµÌùÍÆ¼ö£¬¶ÔÄúͬÑùÓаïÖú:
Å×ÎïÐÍÆ«Î¢·Ö·½³ÌµÄÊýÖµ½âÇó½âÎÊÌ⣬лл£¡
ÒѾÓÐ14È˻ظ´
ʹÓÃfsolveÇó½â·ÇÏßÐÔ·½³ÌÎÊÌâ
ÒѾÓÐ9È˻ظ´
¿Õ¼ä²½³¤ºÍʱ¼ä²½³¤¹ØÏµÊÇʲô£¿Çó¸ß¸ß¸ßÈËÖ¸½Ì¡£
ÒѾÓÐ8È˻ظ´
ÈçºÎÇó½âÏÂÁз½³Ì£ºxlnx=a(x-b)
ÒѾÓÐ14È˻ظ´
¸÷λÅóÓÑ£¬ÈçºÎÓÃmatlab±àдÕâ¸ö·½³Ì£¬²¢Çó½â£¿
ÒѾÓÐ15È˻ظ´
matlabÇó½â·½³ÌÖеIJÎÊý
ÒѾÓÐ21È˻ظ´
΢·Ö·½³Ì½âµÄ¸öÊýÓë·½³ÌµÄ½×Êý¹ØÏµ
ÒѾÓÐ5È˻ظ´
matlabÇó½â·ÇÏßÐÔ·½³Ì×é
ÒѾÓÐ16È˻ظ´
ÇómatlabÇó½âÒ»¸ö·½³Ì×éµÄÎÊÌâ
ÒѾÓÐ6È˻ظ´
COMSOL Multiphysics ģʽ·ÖÎöÔÀíÇóÖú
ÒѾÓÐ6È˻ظ´
ÓÃMatlabÇó½â·½³Ì
ÒѾÓÐ6È˻ظ´
¡¾ÇóÖú¡¿¶àÔª·½³Ì×éÇó½â¼°ÄâºÏ
ÒѾÓÐ9È˻ظ´
¡¾ÇóÖú¡¿MATLAB ÓÐÏÞ²î·Ö·¨£¨FDM£©Çó½âƫ΢·Ö·½³Ì
ÒѾÓÐ22È˻ظ´
¡¾ÇóÖú¡¿»ý·Ö΢·Ö·½³ÌmatlabÇó½â
ÒѾÓÐ6È˻ظ´
¡¾ÇóÖú¡¿ATKÖеÚÒ»ÐÔºÍNGFÊÇÔõô½áºÏÆðÀ´µÄ
ÒѾÓÐ22È˻ظ´
¡¾ÇóÖú¡¿Çó½â·ÇÏßÐÔ·½³Ì
ÒѾÓÐ8È˻ظ´
ÔÂÖ»À¶
Ö÷¹ÜÇø³¤ (Ö°Òµ×÷¼Ò)
-

ר¼Ò¾Ñé: +1059 - ¼ÆËãÇ¿Ìû: 8
- Ó¦Öú: 1712 (½²Ê¦)
- ¹ó±ö: 8.888
- ½ð±Ò: 68127.7
- É¢½ð: 1938
- ºì»¨: 443
- ɳ·¢: 4
- Ìû×Ó: 4373
- ÔÚÏß: 3291.4Сʱ
- ³æºÅ: 1122189
- ×¢²á: 2010-10-14
- רҵ: ÓîÖæÑ§
- ¹ÜϽ: ¼ÆËãÄ£ÄâÇø

2Â¥2013-07-23 11:07:08
kuntenghunya
Ìú³æ (³õÈëÎÄ̳)
- Ó¦Öú: 0 (Ó×¶ùÔ°)
- ½ð±Ò: 98.8
- É¢½ð: 15
- Ìû×Ó: 25
- ÔÚÏß: 47.8Сʱ
- ³æºÅ: 1818843
- ×¢²á: 2012-05-15
- ÐÔ±ð: MM
- רҵ: ´«ÈÈ´«ÖÊѧ
3Â¥2013-07-23 11:20:29
ÔÂÖ»À¶
Ö÷¹ÜÇø³¤ (Ö°Òµ×÷¼Ò)
-

ר¼Ò¾Ñé: +1059 - ¼ÆËãÇ¿Ìû: 8
- Ó¦Öú: 1712 (½²Ê¦)
- ¹ó±ö: 8.888
- ½ð±Ò: 68127.7
- É¢½ð: 1938
- ºì»¨: 443
- ɳ·¢: 4
- Ìû×Ó: 4373
- ÔÚÏß: 3291.4Сʱ
- ³æºÅ: 1122189
- ×¢²á: 2010-10-14
- רҵ: ÓîÖæÑ§
- ¹ÜϽ: ¼ÆËãÄ£ÄâÇø

4Â¥2013-07-23 13:43:39
pippi6
Ìú¸Ëľ³æ (ÖøÃûдÊÖ)
¹¤³ÌºÍ¿ÆÑ§ÊýÖµ¼ÆËã×Éѯ
- Ó¦Öú: 413 (˶ʿ)
- ¹ó±ö: 0.002
- ½ð±Ò: 7116.5
- É¢½ð: 15
- ºì»¨: 63
- Ìû×Ó: 1639
- ÔÚÏß: 798.9Сʱ
- ³æºÅ: 2469437
- ×¢²á: 2013-05-14
- רҵ: ¼ÆËãÊýѧÓë¿ÆÑ§¹¤³Ì¼ÆËã
¡¾´ð°¸¡¿Ó¦Öú»ØÌû
¡ï ¡ï ¡ï ¡ï ¡ï ¡ï ¡ï
¸Ðл²ÎÓ룬ӦÖúÖ¸Êý +1
kuntenghunya: ½ð±Ò+5, ¡ï¡ï¡ïºÜÓаïÖú 2013-07-23 18:10:38
csgt0: ½ð±Ò+2, ¶àлָµ¼ 2013-07-24 16:59:04
¸Ðл²ÎÓ룬ӦÖúÖ¸Êý +1
kuntenghunya: ½ð±Ò+5, ¡ï¡ï¡ïºÜÓаïÖú 2013-07-23 18:10:38
csgt0: ½ð±Ò+2, ¶àлָµ¼ 2013-07-24 16:59:04
|
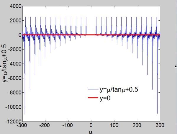
ÔÚexcelÎļþÖУ¬ÐÞ¸Ä KÖµ£¬±ÈÈç 1£¬¾ÍµÃµ½µÚÒ»¸ö¸ù 1.836597203£¬ ÐÞ¸Ä³É 10£¬¾ÍµÃµ½µÚ10¸ö¸ù 29.8618724£¬µÈµÈ¡£µ±È»£¬¸ùÊǶԳƵġ£ -29.8618724 Ò²ÊǸù¡£Ç°Ê®¸ö¸ùÊÇ£¨³ýÁËÆ½·²½â x=0£© 1 1.836597203 2 4.815842318 3 7.917052685 4 11.04082982 5 14.17243207 6 17.30764054 7 20.44480347 8 23.58314331 9 26.72224637 10 29.8618724 |
» ±¾Ìû¸½¼þ×ÊÔ´Áбí
-
»¶Ó¼à¶½ºÍ·´À¡£ºÐ¡Ä¾³æ½öÌṩ½»Á÷ƽ̨£¬²»¶Ô¸ÃÄÚÈݸºÔð¡£
±¾ÄÚÈÝÓÉÓû§×ÔÖ÷·¢²¼£¬Èç¹ûÆäÄÚÈÝÉæ¼°µ½ÖªÊ¶²úȨÎÊÌ⣬ÆäÔðÈÎÔÚÓÚÓû§±¾ÈË£¬Èç¶Ô°æÈ¨ÓÐÒìÒ飬ÇëÁªÏµÓÊÏ䣺xiaomuchong@tal.com - ¸½¼þ 1 : Newton05.xls
2013-07-23 16:17:42, 16 K
5Â¥2013-07-23 16:18:30
ÔÂÖ»À¶
Ö÷¹ÜÇø³¤ (Ö°Òµ×÷¼Ò)
-

ר¼Ò¾Ñé: +1059 - ¼ÆËãÇ¿Ìû: 8
- Ó¦Öú: 1712 (½²Ê¦)
- ¹ó±ö: 8.888
- ½ð±Ò: 68127.7
- É¢½ð: 1938
- ºì»¨: 443
- ɳ·¢: 4
- Ìû×Ó: 4373
- ÔÚÏß: 3291.4Сʱ
- ³æºÅ: 1122189
- ×¢²á: 2010-10-14
- רҵ: ÓîÖæÑ§
- ¹ÜϽ: ¼ÆËãÄ£ÄâÇø
¡¾´ð°¸¡¿Ó¦Öú»ØÌû
¡ï ¡ï ¡ï ¡ï ¡ï ¡ï ¡ï
kuntenghunya: ½ð±Ò+5, ¡ï¡ï¡ïºÜÓаïÖú 2013-07-23 18:10:15
csgt0: ½ð±Ò+2, ¶àлָµ¼ 2013-07-24 16:59:18
kuntenghunya: ½ð±Ò+5, ¡ï¡ï¡ïºÜÓаïÖú 2013-07-23 18:10:15
csgt0: ½ð±Ò+2, ¶àлָµ¼ 2013-07-24 16:59:18

6Â¥2013-07-23 17:02:53
kuntenghunya
Ìú³æ (³õÈëÎÄ̳)
- Ó¦Öú: 0 (Ó×¶ùÔ°)
- ½ð±Ò: 98.8
- É¢½ð: 15
- Ìû×Ó: 25
- ÔÚÏß: 47.8Сʱ
- ³æºÅ: 1818843
- ×¢²á: 2012-05-15
- ÐÔ±ð: MM
- רҵ: ´«ÈÈ´«ÖÊѧ
7Â¥2013-07-23 18:10:23
kuntenghunya
Ìú³æ (³õÈëÎÄ̳)
- Ó¦Öú: 0 (Ó×¶ùÔ°)
- ½ð±Ò: 98.8
- É¢½ð: 15
- Ìû×Ó: 25
- ÔÚÏß: 47.8Сʱ
- ³æºÅ: 1818843
- ×¢²á: 2012-05-15
- ÐÔ±ð: MM
- רҵ: ´«ÈÈ´«ÖÊѧ
8Â¥2013-07-23 18:10:53
pippi6
Ìú¸Ëľ³æ (ÖøÃûдÊÖ)
¹¤³ÌºÍ¿ÆÑ§ÊýÖµ¼ÆËã×Éѯ
- Ó¦Öú: 413 (˶ʿ)
- ¹ó±ö: 0.002
- ½ð±Ò: 7116.5
- É¢½ð: 15
- ºì»¨: 63
- Ìû×Ó: 1639
- ÔÚÏß: 798.9Сʱ
- ³æºÅ: 2469437
- ×¢²á: 2013-05-14
- רҵ: ¼ÆËãÊýѧÓë¿ÆÑ§¹¤³Ì¼ÆËã
¡¾´ð°¸¡¿Ó¦Öú»ØÌû
¡ï
csgt0: ½ð±Ò+1, лл 2013-07-24 16:59:37
csgt0: ½ð±Ò+1, лл 2013-07-24 16:59:37
|
6Â¥µÄmatlab³ÌÐòºÜÈ«Ãæ°¡¡£²»¹ý¶ÔÓÚk-th ¸ù£¬µü´ú³õÖµ¿ÉÑ¡ÔñΪ 1.8+k*pi¡£ ˳±ã²¹³äÒ»µã£¬ÎÒÊÇÓÃNewton·¨£¬Ê¹ÓÃexcel×öµÄ¡£Èç¹û°´ÔÀ´µÄÐÎʽд f= x/tan(x)-(1-Bi), ³ýÁ˵ÚÒ»¸ö¸ùÍ⣬ÆäËûµÄ¸ù²»ÈÝÒ×ÊÕÁ²¡£Ð´³É f= 1/tan(x)-(1-Bi)/x£¬ df/dx=-1/sin(x)^2+(1-Bi)/x^2, x= x-f/(df/dx) ÔòÒªºÃµÃ¶à¡£ |
9Â¥2013-07-23 18:52:51
kuntenghunya
Ìú³æ (³õÈëÎÄ̳)
- Ó¦Öú: 0 (Ó×¶ùÔ°)
- ½ð±Ò: 98.8
- É¢½ð: 15
- Ìû×Ó: 25
- ÔÚÏß: 47.8Сʱ
- ³æºÅ: 1818843
- ×¢²á: 2012-05-15
- ÐÔ±ð: MM
- רҵ: ´«ÈÈ´«ÖÊѧ
10Â¥2013-07-23 19:33:42













»Ø¸´´ËÂ¥
5