| 查看: 706 | 回复: 2 | ||
wangjade6181至尊木虫 (著名写手)
|
[求助]
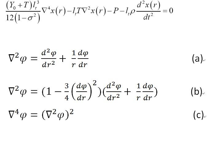
请教高手,这个微分方程,有没有解析解呢?
|
|
如果可解,能否告知方法?其中,(a)(b)两个是一个公式的两个步骤, 确切地说,(a)代表的公式,可以解出来。(b) 代表的公式,如何解? 其余的参数都是常数。 奖励另外商量。谢谢! diff_equation.jpg [ Last edited by liusir3836 on 2013-3-21 at 21:42 ] |
» 猜你喜欢
评审感受-评审感受-评审感受
已经有15人回复
本人最近太闲了,谁有问题可以提,每天会统一回复
已经有13人回复
这年头没有找到涵评专家,还有中面上的可能吗
已经有7人回复
青C资助名额大幅增加!
已经有12人回复
重磅!青年科学基金项目(C类)资助增幅预计超过50%
已经有6人回复
有带发论文的吗
已经有3人回复
导师各种操作恶心咋办
已经有13人回复
护理论文 晋升
已经有5人回复
求助大佬sci投稿哪个好中
已经有4人回复
2026博士申请求助
已经有10人回复
» 本主题相关价值贴推荐,对您同样有帮助:
抛物型偏微分方程的数值解求解问题,谢谢!
已经有14人回复
数学物理方程求解!(带边界条件的偏微分方程)
已经有13人回复
请问这个4阶的非线性偏微分方程组在PDE中怎么解?等待高手解答。
已经有17人回复
已知微分方程求解数值解
已经有7人回复
常微分方程 求特解问题。
已经有6人回复
请教mathematic问题?关于解微分方程组的和画图的一些问题。
已经有19人回复
微分方程解的个数与方程的阶数关系
已经有5人回复
高手进来用matlab求解常微分方程,十分感谢!
已经有17人回复
这样一个偏微分方程有没有解析解?
已经有4人回复
椭圆形偏微分方程标准化后该如何解?
已经有6人回复
matlab解微分方程
已经有10人回复
请问如何求解二元一阶微分方程组
已经有24人回复
麻烦帮忙解个微分方程~想知道解的过程
已经有8人回复
【求助】请教非齐次常微分方程组的解析解法
已经有4人回复
【求助】请教二阶微分方程的特解(含初始条件)
已经有8人回复
【求助】一个二阶常微分方程的解法(重奖金币!)
已经有16人回复
【求助】偏微分方程的基本解
已经有5人回复

wangjade6181
至尊木虫 (著名写手)
- 应助: 3 (幼儿园)
- 贵宾: 0.01
- 金币: 13036.1
- 散金: 755
- 红花: 6
- 帖子: 1868
- 在线: 313.9小时
- 虫号: 742646
- 注册: 2009-04-07
- 性别: GG
- 专业: 生物电子学与生物信息处理

2楼2013-03-21 18:41:38
wangjade6181
至尊木虫 (著名写手)
- 应助: 3 (幼儿园)
- 贵宾: 0.01
- 金币: 13036.1
- 散金: 755
- 红花: 6
- 帖子: 1868
- 在线: 313.9小时
- 虫号: 742646
- 注册: 2009-04-07
- 性别: GG
- 专业: 生物电子学与生物信息处理

3楼2013-03-21 19:01:02












回复此楼