| 查看: 831 | 回复: 6 | ||
shaolinsi737铁杆木虫 (小有名气)
|
[求助]
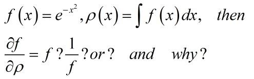
关于一个导数
|
|
|
|
||
archdevil铁杆木虫 (正式写手)
|
【答案】应助回帖
★ ★ ★
感谢参与,应助指数 +1 lovibond: 金币+1, 鼓励应助 2013-01-05 09:41:57 shaolinsi737: 金币+2, ★★★很有帮助, 谢谢 2013-01-07 09:12:41
|
|
![]() |
||
|
2楼2013-01-04 23:26:19
|
|
|
shaolinsi737铁杆木虫 (小有名气)
|
||
|
3楼2013-01-05 09:10:02
|
|
|
遗失的小蛙木虫 (小有名气)
|
||
![]() |
||
|
4楼2013-01-05 19:53:43
|
|
|
archdevil铁杆木虫 (正式写手)
|
||
![]() |
||
|
5楼2013-01-05 22:22:37
|
|
|
shaolinsi737铁杆木虫 (小有名气)
|
||
|
6楼2013-01-06 10:03:16
|
|
|
wellgpf木虫 (著名写手)
|
||
![]() |
||
|
7楼2013-01-06 18:07:24
|
|














回复此楼

6