| 查看: 1438 | 回复: 12 | |||
| 当前只显示满足指定条件的回帖,点击这里查看本话题的所有回帖 | |||
向着太阳奔跑新虫 (小有名气)
|
[求助]
求助数学公式推导 已有1人参与
|
||
|
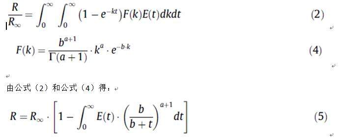
各位数学大神,一带有伽马函数的数学推导公式没明白,见图,求助各位,谢谢! 求助数学公式推导.jpg@laosam280 |
» 猜你喜欢
国家级人才课题组招收2026年入学博士
已经有3人回复
青年基金C终止
已经有4人回复
青椒八年已不青,大家都被折磨成啥样了?
已经有7人回复
为什么nbs上溴 没有产物点出现呢
已经有10人回复
救命帖
已经有11人回复
招博士
已经有5人回复
26申博求博导推荐-遥感图像处理方向
已经有4人回复
限项规定
已经有7人回复
西南交通大学国家级人才团队2026年博士研究生招生(考核制)—机械、材料、力学方向
已经有3人回复
英文综述是否需要润色及查重
已经有5人回复
» 本主题相关价值贴推荐,对您同样有帮助:
公式推导求助!
已经有3人回复
求助虫友,你的数学还好吗?
已经有1人回复
微结构减磨擦的原理公式或者数学推导
已经有0人回复
1stOpt 或者其他程序进行双指数拟合
已经有2人回复
一个特殊函数的计算公式问题
已经有1人回复
一个涉及广义函数的积分
已经有8人回复
求助:关于机械波的叠加公式推导
已经有11人回复
请教数学建模--公式推导问题,专业外虫子求助!!!!
已经有5人回复
2014考研暑期复习:如何打好数学基础
已经有14人回复
求助关于平均场的理论处理问题
已经有10人回复
求助关于求解光子晶体模式的平面波展开法的公式推导
已经有1人回复
后悔没有好好学数学啊!求助推到过程,谢谢!
已经有5人回复
请教关于ln的解题
已经有4人回复
急切请教关于范数求导的问题
已经有10人回复
[求助]公式的推导过程
已经有3人回复
物化小白求助T_T
已经有3人回复
【求助】数学推导
已经有3人回复
数学推导求助。。。。
已经有4人回复
100金币下载论文求助
已经有3人回复
【求助】双圆弧齿轮强度公式的推导过程 参与即送金币
已经有0人回复
求助:数学公式推导
已经有4人回复
向着太阳奔跑
新虫 (小有名气)
- 应助: 0 (幼儿园)
- 金币: 161.6
- 散金: 30
- 帖子: 63
- 在线: 23.5小时
- 虫号: 4092090
- 注册: 2015-09-22
- 性别: GG
- 专业: 矿物工程与物质分离科学
9楼2016-04-12 10:50:37
向着太阳奔跑
新虫 (小有名气)
- 应助: 0 (幼儿园)
- 金币: 161.6
- 散金: 30
- 帖子: 63
- 在线: 23.5小时
- 虫号: 4092090
- 注册: 2015-09-22
- 性别: GG
- 专业: 矿物工程与物质分离科学
2楼2016-04-12 09:55:49
Mr__Right
专家顾问 (著名写手)
-

专家经验: +31 - 数学EPI: 1
- 应助: 317 (大学生)
- 金币: 14456.3
- 散金: 500
- 红花: 54
- 帖子: 2716
- 在线: 950.6小时
- 虫号: 1972612
- 注册: 2012-09-04
- 性别: GG
- 专业: 应用数学方法
- 管辖: 程序语言

3楼2016-04-12 10:24:26
向着太阳奔跑
新虫 (小有名气)
- 应助: 0 (幼儿园)
- 金币: 161.6
- 散金: 30
- 帖子: 63
- 在线: 23.5小时
- 虫号: 4092090
- 注册: 2015-09-22
- 性别: GG
- 专业: 矿物工程与物质分离科学
4楼2016-04-12 10:31:36













回复此楼
送红花一朵