| ²é¿´: 665 | »Ø¸´: 5 | ||
llaierÖÁ×ðľ³æ (Ö°Òµ×÷¼Ò)
|
[ÇóÖú]
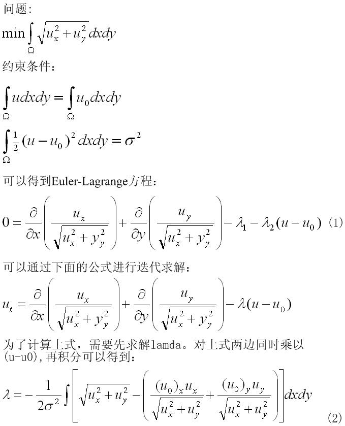
ºó»ÚûÓкúÃѧÊýѧ°¡£¡ÇóÖúÍÆµ½¹ý³Ì£¬Ð»Ð»£¡
|
|
|
|
||
| »ØÌûÖö¥ ( ¹²ÓÐ1¸ö ) | ||
llaierÖÁ×ðľ³æ (Ö°Òµ×÷¼Ò)
|
||
|
4Â¥2012-11-30 13:25:27
|
|
|
| ÆÕͨ»ØÌû | ||
archdevilÌú¸Ëľ³æ (ÕýʽдÊÖ)
|
¡¾´ð°¸¡¿Ó¦Öú»ØÌû
¡ï
¸Ðл²ÎÓ룬ӦÖúÖ¸Êý +1 llaier: ½ð±Ò+1, ¡ïÓаïÖú, ·Ç³£¸Ðл£¡ÊÇÎÒÉÙÊäÈëÒ»¸ö¹«Ê½¡£ 2012-11-30 13:21:32
|
|
![]() |
||
|
2Â¥2012-11-30 06:33:29
|
|
|
llaierÖÁ×ðľ³æ (Ö°Òµ×÷¼Ò)
|
||
|
3Â¥2012-11-30 13:23:00
|
|
|
³þÔϾ£·çгæ (СÓÐÃûÆø)
|
||
|
5Â¥2012-11-30 13:57:57
|
|
|
archdevilÌú¸Ëľ³æ (ÕýʽдÊÖ)
|
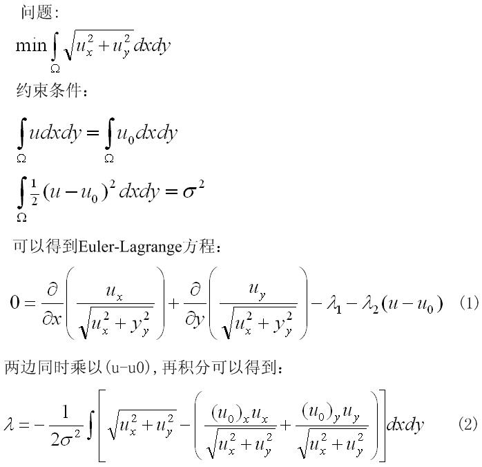
¡¾´ð°¸¡¿Ó¦Öú»ØÌû
¡ï ¡ï ¡ï ¡ï ¡ï ¡ï
llaier: ½ð±Ò+6, ¡ï¡ï¡ïºÜÓаïÖú, ·Ç³£¸Ðл£¡ÎÒÏÈ¿´¿´×Ô¼ºÊÇ·ñÄܹ»ÍƳöÀ´£¬²»ÐеϰÔÙÏòÄúÇë½Ì¡£ 2012-12-01 20:00:15
|
|
![]() |
||
|
6Â¥2012-12-01 00:16:09
|
|
|














»Ø¸´´ËÂ¥

10