| 查看: 1164 | 回复: 1 | |
tangjay铜虫 (初入文坛)
|
[求助]
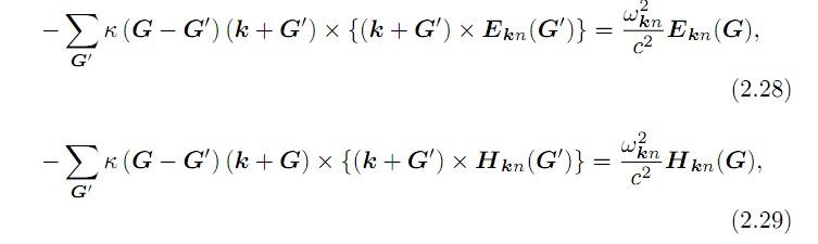
求助关于求解光子晶体模式的平面波展开法的公式推导
|
|
|
|
a49782980新虫 (初入文坛)
|
|
|
2楼2013-08-02 16:15:20
|
|














回复此楼
5