Znn3bq.jpeg
±±¾©Ê¯ÓÍ»¯¹¤Ñ§Ôº2026ÄêÑо¿ÉúÕÐÉú½ÓÊÕµ÷¼Á¹«¸æ
²é¿´: 450  |  »Ø¸´: 1

ajogajog

гæ (³õÈëÎÄ̳)

[ÇóÖú] ÇóÖú³æÓÑ£¬ÄãµÄÊýѧ»¹ºÃÂð£¿

ǰ¶Îʱ¼äºÍ¼¸¸öͬÐн»Á÷µÄÓöµ½µÄÒ»¸ö¹«Ê½£¬Êýѧ¶¼¿ì»¹¸øÀÏʦÁË£¬Çó³æÓÑÃÇÖ¸µãһϣ¬ÊÇÔõÃ´ÍÆµ¼µÄ¡£
ÇóÖú³æÓÑ£¬ÄãµÄÊýѧ»¹ºÃÂð£¿
ÇóÖú³æÓÑ£¬ÄãµÄÊýѧ»¹ºÃÂð£¿-1
Õâ¾ÍÊÇÖ÷񻃾¼°µÄÄÚÈÝ¡£
ÇóÖú³æÓÑ£¬ÄãµÄÊýѧ»¹ºÃÂð£¿-2
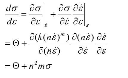
ÆäËûµÄ¶¼ºÜ¼òµ¥£¬Ö÷Òª¾ÍÊÇÕâ¸ö×îºóÒ»ÐÐÔõôµ¼³öÀ´µÄ£¿
mÊÇÂÊÒò×Ó£¬nÊǶ¨ÒåµÄÃæ»ý±È¡£

лл´ó¼ÒÁË£¡
»Ø¸´´ËÂ¥

» ²ÂÄãϲ»¶

» ±¾Ö÷ÌâÏà¹Ø¼ÛÖµÌùÍÆ¼ö£¬¶ÔÄúͬÑùÓаïÖú:

ÒÑÔÄ   »Ø¸´´ËÂ¥   ¹Ø×¢TA ¸øTA·¢ÏûÏ¢ ËÍTAºì»¨ TAµÄ»ØÌû

ajogajog

гæ (³õÈëÎÄ̳)

ÓÐûÓÐÈËÄܰï°ïæѽ
2Â¥2015-04-12 18:53:52
ÒÑÔÄ   »Ø¸´´ËÂ¥   ¹Ø×¢TA ¸øTA·¢ÏûÏ¢ ËÍTAºì»¨ TAµÄ»ØÌû
Ïà¹Ø°æ¿éÌø×ª ÎÒÒª¶©ÔÄÂ¥Ö÷ ajogajog µÄÖ÷Ìâ¸üÐÂ
×î¾ßÈËÆøÈÈÌûÍÆ¼ö [²é¿´È«²¿] ×÷Õß »Ø/¿´ ×îºó·¢±í
[¿¼ÑÐ] 085600ר˶²ÄÁÏÓ뻯¹¤348·ÖÇóµ÷¼Á +11 ÉÏѧÀ²£¡ 2026-04-01 12/600 2026-04-08 10:18 by screening
[¿¼ÑÐ] 285Çóµ÷¼Á +5 ¶ñ·¨´ó¶þµÄÆøÎ¶ß 2026-04-05 8/400 2026-04-07 23:37 by shanqishi
[¿¼ÑÐ] »¯¹¤Ñ§Ë¶ 285Çóµ÷¼Á +23 Wisjxn 2026-04-07 23/1150 2026-04-07 22:55 by JourneyLucky
[¿¼ÑÐ] »¯Ñ§¹¤³Ìµ÷¼Á289 +22 yangæÃ 2026-04-07 23/1150 2026-04-07 22:49 by À´¿´Á÷ÐÇÓê10
[¿¼ÑÐ] 085600²ÄÁÏÓ뻯¹¤301·ÖÇóµ÷¼ÁԺУ +25 ´ÌÍ´jk 2026-04-06 26/1300 2026-04-07 15:07 by -ÃÔÁË·°¡Â·
[¿¼ÑÐ] 0703µ÷¼Á +16 ʰ¾ÁÒ¼ 2026-04-04 18/900 2026-04-07 12:49 by flydream1314
[¿¼ÑÐ] 319Çóµ÷¼Á +3 handrui 2026-04-05 3/150 2026-04-06 09:33 by jp9609
[¿¼ÑÐ] 377Çóµ÷¼Á +6 by.ovo 2026-04-05 6/300 2026-04-05 22:18 by dongzh2009
[¿¼ÑÐ] 262Çóµ÷¼Á +7 ÌìϵÚÒ»ÎÄ 2026-04-04 8/400 2026-04-05 21:31 by ¼¤Á÷Ó¶É
[¿¼ÑÐ] µ÷¼Á +3 ºÃºÃ¶ÁÊé¡£ 2026-04-02 3/150 2026-04-05 13:02 by arrow8852
[¿¼ÑÐ] ÉúÎïѧ308·ÖÇóµ÷¼Á£¨Ò»Ö¾Ô¸»ª¶«Ê¦´ó£© +8 ÏàÐűػá¹ââÍòÕ 2026-04-05 10/500 2026-04-05 12:19 by Hdyxbekcb
[¿¼ÑÐ] 325Çóµ÷¼Á +4 ´º·ç²»½èÒâ 2026-04-04 4/200 2026-04-04 22:08 by à£à£à£0119
[¿¼ÑÐ] »·¾³285·Ö£¬¹ýÁù¼¶£¬Çóµ÷¼Á +10 xhr12 2026-04-02 10/500 2026-04-04 21:53 by bn53987
[¿¼ÑÐ] 283Çóµ÷¼Á +4 mcbbc 2026-04-03 5/250 2026-04-04 20:51 by imissbao
[¿¼ÑÐ] ×Ü·Ö328ÉúÎïÓëÒ½Ò©¿¼ÊýѧÇóµ÷¼Á +7 aaadim 2026-04-02 9/450 2026-04-03 22:53 by syh9288
[¿¼ÑÐ] 350Ò»Ö¾Ô¸±±¾©º½¿Õº½Ìì´óѧ08500²ÄÁÏ¿ÆÑ§Ó빤³ÌÇóµ÷¼Á +5 kjnasfss 2026-04-03 5/250 2026-04-03 22:29 by Î޼ʵIJÝÔ­
[¿¼ÑÐ] Çó²ÄÁϵ÷¼Á Ò»Ö¾Ô¸Äϲý´óѧ 328·Ö +5 yyy..... 2026-04-03 5/250 2026-04-03 13:46 by °ÙÁéͯ888
[¿¼ÑÐ] ÍÁľˮÀû328·ÖÇóµ÷¼Á +6 ¼²·çÖª¾¢²Ý666 2026-04-02 6/300 2026-04-03 11:38 by znian
[¿¼ÑÐ] Ò»Ö¾Ô¸±±½»´ó²ÄÁϹ¤³Ì×Ü·Ö358 +3 cs0106 2026-04-02 5/250 2026-04-02 11:37 by olim
[¿¼ÑÐ] 310·ÖÇóµ÷¼Á +4 ³É¹¦Éϰ¶wang 2026-04-01 4/200 2026-04-01 20:35 by liu823948201
ÐÅÏ¢Ìáʾ
ÇëÌî´¦ÀíÒâ¼û