当前位置:小木虫首页 >> 电化学

电化学阻抗谱分析

平头的许
哪位大神来帮小弟分析一下这个图吧。我做了一个涂层在钢板上,在盐水中浸泡一天后测试的图。有些人说最后奈奎斯特图里面的实部回缩是因为出现了感抗弧,但是bode图中只有一个时间...
电化学
  • 150
  • 3

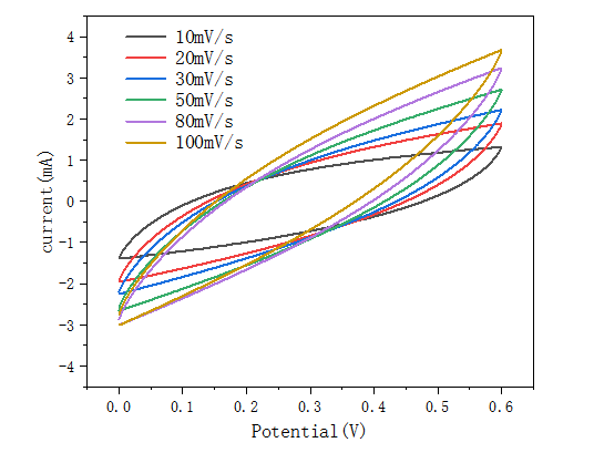
CV算出来的赝电容的面积比CV曲线面积还要大,有错误吗?

龍皇
做的电池电极复合材料,下图是根据文献算得赝电容的贡献情况(黑色CV曲线,棕色计算赝电容),有两个问题:1.赝电容面积比CV曲线面积还要大,为啥会出现这样问题。2.交叉问题...
电化学
  • 300
  • 6

电化学阻抗图只有半圆部分 是否严谨?

ivy_1129
我是做电催化。看了文献中的阻抗分析大多都只有半圆比较半径。测试条件却写了1MHz-0.01Hz。可是如果真的测到0.01,怎么可能只有半圆部分,没有扩散控制呢?实验结果不应该跟实验条件相匹配么,这样删掉扩散部分很容易误导,是不是不严谨呢?
电化学
  • 400
  • 8

恒电流充放电测试充电曲线在接近最高设定电压时出现一个类似于平台的阶段

丁丁先生
请问碳材料作为活性材料,利用三电极体系做恒电流充放电测试时,为什么充电曲线在接近0.9v附近会出现一个类似于平台的阶段呢(红色框框内)?引起这种现象的原因一般有哪些呢?
电化学
  • 400
  • 8

NCM811全电池正负极重量的匹配度

阿黎同学
由于我们实验室主流是镍锰酸锂,所以我做811时,师兄师姐不太清楚全电中正极与石墨负极的重量匹配度是多少?各位虫友,有谁知道吗?不胜感激
电化学
  • 400
  • 8

锂离子电池只充电不放电

yangyewei333
我是做锂离子电池的,正极材料LiNiMnO,负极锂,装了四五十个了,有的死了,有的能循环几圈也死了。但都是只充电,不放电或是放电特别校想问一下这是怎么回事?
电化学
  • 1100
  • 22

我的eis图很奇怪,扫到0.01

不要随便123
后面的不应该是一个直线吗?为什么会出现一个半圆???
电化学
  • 700
  • 14

氮气吸附脱附数据单位问题请教

张琳琳
想请问大家,氮气吸附脱附数据中,dv/dw和dV/dD二者单位都是一样的,那二者表示的是不是同一种物理意义?或者二者有什么差别?还有,porewidth和porediameter是不是意义也一样?因为我看到BJH模块中,纵坐标给的的dV/dD,横坐标是pore...
电化学
  • 800
  • 16

锂硫电池中倍率与电流怎么换算?

易可微Seven
我想测试0.1C下,电池的性能。但是我们实验室的蓝电系统只能设置电流值。我的活性物质质量是0.8mg。师兄说,在确定的倍率下有确定的电流值,所以大家说,我应该设置的电流值是多少哪?谢谢大家。
电化学
  • 300
  • 6

COV的概念及计算方法

饮风听月
COV的概念及计算方法
电化学
  • 600
  • 12

刀片电池参数推算

饮风听月
刀片电池参数推算
电化学
  • 950
  • 19

为什么实际废水的COD越处理越大

miss聪花
我真是服了,电氧化实际废水,结果COD越处理越大,原水浓度90my/L,难道是原水浓度太低????实在找不到什么原因了
电化学
  • 150
  • 3

三氟甲烷磺酸锌溶解

林婷1114
三氟甲烷磺酸锌溶解的问题,为什么我1M还是白色的溶液,有没有溶解技巧,可以教我一下,急需
电化学
  • 300
  • 6

OER的起始电位和过电位到底怎么看

吧啦啦zhh
看到一篇文献文中描述的起始电位值和表中列出的不同,过电位也不同,于是看不懂了,为什么会不一样,表中第二列的potential是指overpotential吗,起始电位和过...
电化学
  • 250
  • 5

电渗析装置制备试剂

hqzxcvbnm7
目前利用三室电渗析装置制备试剂,采用阴离子交换膜,希望在电解室产生OH-然后过阴膜进入中间反应室。可是目前感觉并没有OH-进入中间室,有什么方法可以解决吗?并且用直接电源上面显示的电源特别小,在电压3V左右时,电解仅为0.002A左右,这是什么原因呢?怎么能在...
电化学
  • 150
  • 3

电致变色 凝胶电解质

鱼在水中
请问,在做器件时发现,只把凝胶电解质加在两个柔性的ITO-PET中也是会变色,刚开始是透明,后来在电压2V左右部分区域变成了棕黑色,感觉是凝胶电解质的原因,怎么避免这种情况呢???试了两种凝胶电解质效果类似(乙腈四丁基高氯酸铵碳酸丙烯酯PMMA)(乙腈四丁基六...
电化学
  • 250
  • 5

找一个做HOR方向的

5979795979
有在做HOR的师兄师姐吗?问一下电化学测试
电化学
  • 800
  • 16

总结近几年石英晶体微天平或者耗散型QCM-D 的求助

Gamry-电化学
这几年,QCM开始获得应用,明显发现下面的相关阐述。欢迎添加问题与总结。QCM综述文章:'https://www.gamry.com/assets/Uploads/resources/Basics-Applications-QCM2.pdf'1.QCM芯片'h...
电化学
  • 250
  • 5

总结近几年石英晶体微天平或者耗散型QCM-D 的求助

Gamry-电化学
这几年,QCM开始获得应用,明显发现下面的相关阐述。欢迎添加问题与总结。QCM综述文章:'https://www.gamry.com/assets/Uploads/resources/Basics-Applications-QCM2.pdf'1.QCM芯片'h...
电化学
  • 250
  • 5

腐蚀电化学阴阳极电流密度变化的影响

凉薄的句号
在酸性环境下,随着腐蚀时间的增加,阴极电流密度增加,这对阴极有什么影响
电化学
  • 550
  • 11

做amperometric 测试时如何确定电位

liujingwj
各位友友:做电化学amperometric测试时如何准确确定测试电位?是根据循环伏安扫描曲线出峰电位吗?
电化学
  • 200
  • 4

大家一般怎么制备电池浆料的?搅浆机?磁力搅拌?高速剪切机?

SevenLee
现在实验室用的是进口的搅浆机,可能要8-10万,自己工作后暂时可能买不起,想知道大家一般用什么方法搅浆的?磁力搅拌,高速剪切机这种搅出来的是不是也挺均匀的?
电化学
  • 400
  • 8

求助,双电层超电CV曲线严重偏离矩阵,并且IR降特别大,怎么改善

smk花道
这种情况怎么解决?是不是材料本身导致的,本人新手没有电化学基础来个大佬指点指点啊QQ图片20200702100640.pngQQ图片20200702100703.pngQ...
电化学
  • 200
  • 4

电池测试后电解液中Mn离子的含量测试问题

蒙蒙…细雨
钠电O3型正极材料,想用icp测试下循环后电解液中Mn含量,请教一下大家把电池拆完之后是直接提取电解液还是怎么做
电化学
  • 500
  • 10

掺杂MXene的量怎么计算

_以梦为马
想将金属氧化物掺杂到MXene中,MXene没有摩尔质量,用什么计算两者的掺量比,大约为多少比较合适
电化学
  • 250
  • 5

求锂电池材料相关XRD标准pdf卡片

Sciencegoing
如题,想求钴酸锂,镍钴锰酸锂,NCA等等关于锂电池用得到的所有pdf标准卡片,不胜感激。请有的小伙伴私戳我吧!谢谢谢谢谢谢!
电化学
  • 150
  • 3

为什么测的CV曲线两段重合了

diaodou228
下面是我的一个参数和曲线
电化学
  • 200
  • 4

电沉积膜拍SEM

亲爱的,同学
我的膜是恒电位电沉积上去的,工作电极用的3mm玻碳,想问下拍电镜这个咋弄?刮下来会破坏形貌吧,文献一般不说咋做的埃。。
电化学
  • 250
  • 5

电化学仿真软件

星星之火1
大家电化学仿真软件大家都用的哪一款?推荐一下现在主流的哪一款更实用一些吧,谢谢!
电化学
  • 150
  • 3

关于电催化CO2还原

学员CecwF8
对于电催化CO2还原,具体的一些测试步骤,注意事项。请大家分享,想以后做一些这方面的东西
电化学
  • 1150
  • 23
应助之星
下载小木虫APP
与700万科研达人随时交流
  • 二维码
  • IOS
  • 安卓