小木虫
登陆
|
注册
首页
导读
期刊
发现
社区
招聘老师
当前位置:
小木虫首页
>> 有奖问答
求帮忙百*度*文*库PPT下载,非常感谢 设计
论泡妞
'https://wenku.baidu.com/view/c6ad8bcb0508763231121225.html?sxts=1571108339574'在此先谢过
有奖问答
50
1
求帮忙百*度*文*库PPT下载,非常感谢 设计
论泡妞
'https://wenku.baidu.com/view/427ac616168884868762d6d6.html?sxts=1571108869286'在此先谢过
有奖问答
50
1
请帮忙下载一个客道巴巴文件,有链接,谢谢
jondan
'http://www.doc88.com/p-4397420925115.html'或者'https://max.book118.com/html/2017/0912/133472420.shtm'
有奖问答
100
2
求帮忙百*度*文*库下载,非常感谢 化学化工常用软件
论泡妞
'https://wenku.baidu.com/view/b90259b9c77da26925c5b0ce.html?sxts=1572262541597''https://wenku.baidu.com/view/66587b6a011ca300a6c39...
有奖问答
50
1
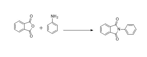
苯胺接上邻苯二甲酸酐后,提纯如何除去邻苯二甲酸酐
材狗2019
用邻苯二甲酸酐和苯胺反应后,大质谱看出来是接上了,但是无法溶解,走小板极性特别大,用二氯甲烷加甲醇走才能走动一点点。怎么能把邻苯二甲酸酐给除去呢1.png
有奖问答
200
4
环境工程英文论文
qijinghua3
求环境工程英文论文,不要告诉我去谷歌找我谷歌要是能用就不会在这求助了,谢谢大家了
有奖问答
600
12
第二十一次全国电化学大会那里召开,哪个学校主办啊,谢谢
huangtudiwd
第二十一次全国电化学大会那里召开,哪个学校主办啊,谢谢
有奖问答
150
3
求助论文投稿中的“Author Statement”模板
llhljsy
请问SCI期刊“AuthorStatement”有什么模板或或格式吗?如有的虫友请发我一份,非常感谢!
有奖问答
200
4
求助一篇论文 Piston ring designs for reduced friction
暗柳含香
求助一篇论文:Hill.s.HandNewman.B.A,Pistonringdesignsforreducedfriction.SAEPaper,1984
有奖问答
200
4
想问一下大家发网址怎么弄才会不变成超链接
xiaowino
看到有一些同学问网站的问题,给他推荐网站的话发出去就是超链接,咱们不是不让发超链接吗,正好看到有一些人发的网址不会自动变成超链接,想问一下大家发网址怎么弄才会不变成超链接。
有奖问答
200
4
求百度文库2篇
wg423
'https://wenku.baidu.com/view/35f04a2bf605cc1755270722192e453610665ba4.html''https://wenku.baidu.com/view/3baf89279f3143323968011c...
有奖问答
50
1
求医学技术规范
zhaoweijinghe
求:《建设项目职业病危害控制效果评价报告编制要求》ZW-JB-2014-003。谢谢!
有奖问答
50
1
如何快速找到相应化合物的工业生产厂商,而不是试剂厂商!
Army_xiang
如何快速找到相应化合物的工业生产厂商,而不是试剂厂商!
有奖问答
100
2
使用VS2012版本MFC对SQL SERVER2012版本数据库进行操作
sangzhi2
在MFC对话框界面如何通过文本框对数据库已经建好的表进行遍历查询,新增,删除?代码+例子?(最重要为版本一致性,数据库已连接好,采用的链接方式代码为:#import"C:\\ProgramFiles\\CommonFiles\\System\\ado...
有奖问答
50
1
博士答辩后,学位证三个月公示期中,能否学信认证?
skyang
单位需要,但不知道能否在学信网认证呢?感谢。
有奖问答
200
4
clupeotoxin是一种什么毒素?
xiexiaoli1
clupeotoxin请问,有没有虫友知道,这是一种什么毒素?怎么翻译?有没有其他信息?
有奖问答
50
1
求一个下载EI期刊的网站
swagan
求一个下载最新EI期刊的网站
有奖问答
50
1
延大考博怎么样
水云8888
民族方向怎么样,怎么联系博导
有奖问答
150
3
英语句子中,括号里的内容如何表达
qifengdeyu
万能的虫友,用英语讲ppt的时候,括号中表示缩写的内容需要解释出来,这种情况应该如何表达?例如下句中,我想在读出整个句子的同时,想说明IEC是intestinalepithelialcell的缩写,该怎么说?Solubleproteinsproducedbyp...
有奖问答
50
1
微生物群落相对丰度
朴那个灿烈
测了一个土壤微生物群落多样性,想问:什么是相对丰度?怎么计算相对丰度?平台系统导出的柱状图中显示各门类相对丰度都是零点几,但是我导出来的数据(如图)都是成百上千的,想知道...
有奖问答
150
3
求助ansa源文件
小学七年级
谁有ansa源文件?[Lasteditedbyqfw_68on2020-2-5at10:34]
有奖问答
100
2
中国知网的论文检测-查重
樊咖啡
各位虫友,大家好:我有一篇中文的综述文章需要查重,老板要求用中国知网查重,可中国知网的论文检测服务不对个人开放,各位虫友是否有中国知网的论文检测的通道,帮我一下。谢谢。
有奖问答
150
3
急问,朝阳望京紫光园门口的快递代收点搬到哪里去了?
liuyongwen
急问,朝阳望京紫光园门口的快递代收点搬到哪里去了?
有奖问答
100
2
TEM晶格条纹求助
dhyang
请教各位大神,FeCo双金属的TEM晶格图,晶格条纹纵横交错,应该量取哪个方向的间距?晶格条纹由亮点组成,说明什么啊?感谢感谢1_06.png
有奖问答
50
1
求助道客巴巴一篇标准。谢谢
wanghuanhit
'http://www.doc88.com/p-1703905009606.html'
有奖问答
50
1
高金求助道客巴巴文档
千年苦杏仁
高金求助道客巴巴文档:肠道氨基酸:营养的新视角。链接为:'http://www.doc88.com/p-5179507540893.html';'https://www.doc88.com/p-9129307312157.html';'https://www....
有奖问答
50
1
帮忙查阅一篇文献!
天地万物
我想查一篇外国文献,没有题目名称,希望哪位大咖帮帮我Ohta,Shunsaku;Kawasaki,Ikuo;Uemura,Takahiro;Yamashita,Masayuki;Yoshioka,Tomomichi;Yamaguchi,SatoshiChemi...
有奖问答
150
3
请教做钙钛矿太阳能电池方向的各位大佬一个问题!
yls0000
各位大佬好,我想请教做钙钛矿太阳能电池方向的各位大佬一个问题,除了XPS和FTIR外,还有什么方法能够证明吡啶与钙钛矿之间存在着相互作用?
有奖问答
300
6
HAADF image 和相应的 EDX 线扫描分析,以及元素映射和色域照片分析
雪落成海
在看文献时遇到几个图看不懂,请大佬指教!对于这几种图,我想知道的是,这个图用来说明什么问题的?怎么分析这个图?如何得到这个图,用什么仪器检测或者软件制作的?非常感谢!MT...
有奖问答
50
1
电脑不能打字了
bwsxjsj
电脑不能打字怎么办
有奖问答
50
1
10450
‹‹
1
2
3
4
5
6
››
... 349
板块导航
网络生活
育儿交流
健康生活
有奖问答
资源共享
课件资源
试题资源
化学化工
有机
高分子
无机物化
分析
催化
工艺技术
化工设备
化工
精细化工
电化学
环境
专业学科
机械
物理
数学
农林
食品
地学
能源
信息科学
理工农林
科研生活
博后之家
专业外语
外语学习
导师招生
找工作
招聘信息
考研
考博
公务员
生物医药
新药研发
药学
药品生产
分子生物
微生物
动植物
生物科学
医学
材料
材料
材料工程
微米纳米
晶体
金属
非金属
生物材料
功能材料
复合材料
计算模拟
第一原理
量子化学
计算模拟
分子模拟
仿真模拟
程序语言
学术交流
论文投稿
基金申请
学术会议
出国留学
留学生活
公派出国
访问学者
海外博后
留学DIY
签证指南
出国考试
海外院所
注册执考
化工工程师
执业药师
执业医师
环境工程师
会计师
注册考试
24小时热帖
换一批
同年申请2项不同项目,第1个项目里不写第2个项目的信息,可以吗
6
依托企业入选了国家启明计划青年人才。有无高校可以引进的。
6
依托企业入选了国家启明计划青年人才。有无高校可以引进的。
10
天津大学招2026.09的博士生,欢迎大家推荐交流(博导是本人)
9
有院领导为了换新车,用横向课题经费买了俩车
10
应助之星
北京莱茵润色
+关注
598878157
+关注
下载小木虫APP
与700万科研达人随时交流
二维码
IOS
安卓
欢迎监督和反馈
:小木虫仅提供交流平台,不对该内容负责。
欢迎协助我们监督管理,共同维护互联网健康,违规贴举报删除请联系邮箱:xiaomuchong@tal.com
(点此查看侵权举报方式)
我们保证在7个工作日内给予处理和答复,谢谢您的监督。
©2001-2026 muchong.com,小木虫
京ICP备16008351号
京公网安备 11010802022153号
Copyright © 2001-2026 muchong.com, All Rights Reserved. 小木虫 版权所有