小木虫
登陆
|
注册
首页
导读
期刊
发现
社区
招聘老师
当前位置:
小木虫首页
>> 考研
请大家帮忙看看这题,纠结一上午
kgd123
应该如何求过程的内能变呢?
考研
750
15
谢谢大家了,迷茫了好久了,求解
15090105963
这两个题,第一个最后的答案是什么?机理怎么写呀?第二个的机理怎么怎么写呀,谢谢啦!
考研
400
8
有机化学有关于醇的两个反应
bananababa
有没有大神可以解答一下反应一是个什么反应,分了几步?反应二第二个产物是怎么出来的呢?
考研
200
4
高化计算题求助
ALLOK
先看图,问题一:什么时候需要考虑I随时间变化问题二:为什么会出现红圈的考研最后时间了,恳请帮助,谢谢
考研
700
14
我想知道联苯胺重排机理,求大神帮帮忙
欧666林
以这一道题为例,谢谢
考研
350
7
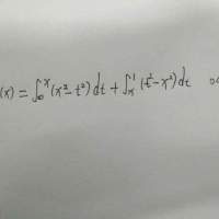
变限积分的求导
crazy0022
变限积分的求导
考研
200
4
分享考研资料度盘
砥砺前行866
本人有考研规划,资料备考,公共课,专业课资料。度盘,踏雪飞鸿312
考研
200
4
体心立方结构112面的面密度计算
zzu毛毛虫
如题,看了好几个答案了不知道哪个正确,求大佬给个正确解答别领了金币都跑
考研
1600
32
假如你对象是乙肝病毒携带者,你还会和他结婚吗?
郝的菜
或者你自己是乙肝病毒携带者。你会主动告诉你对象吗
考研
1900
38
普通二本食品女,考研考本专业军校?
叮铃铃~
普通二本食品专业女,目前大三,考研考本专业军校可以吗?考完出来和高校研究生有何区别?听说本科211高校才有资格?
考研
250
5
有机化学旋光性
超级学渣jjj
这个为什么具有旋光性,中间的碳不是它的对称中心吗
考研
200
4
肖四,不谢,但是可能是假的,但是可以参考——
fgutjgfxgh
'https://pan.baidu.com/s/1pKXWnmr'
考研
350
7
化工原理题求解
942645858
化工原理题求解
考研
650
13
寻找生化与分子生物学建议
梦婆♀
本人二本大学大三学生,想考研考生化与分子生物学,但苦于不知道该报考哪所学校,也不知道该复习什么资料,遂发帖求助各位生化与分子生物学的过来人,你们是就读于哪个学校呀,这个专业该用哪些资料复习呢?很着急,求帮忙
考研
1700
34
采用尼龙6成型的轴承在水下使用时,发生膨胀
?( ? )?
采用尼龙6成型的轴承,在水下使用时,经常发生轴承膨胀而把转轴卡的过紧以至无法转动,请问发生这种现象的原因是什么?求解答
考研
250
5
武汉理工大学有没有光电材料方向的博导啊??
哈哈笑呵呵
对学生好点,待遇好点,好毕业的,谢谢大家!!!
考研
1100
22
想考研,不知道学硕专硕区别大不大
风雨无阻玲玲
打算研究生之后继续考博,本来打算考专硕研究生,不知道专硕的研究生好不好考博????跟学硕有什么区别???
考研
400
8
对读研比较有用的技能是什么
zmljiafei
本科毕业后工作一年多,有两年内读研的打算,目前正在存学费,趁现在还有时间,想请教一下已经研究生毕业,或正在读研的前辈们:有哪些技能我现在可以学学,然后可以使以后的研究生生涯更加顺利度过的?英语应该算一个,还有办公软件这种基本的,其他的还有什么呢?
考研
800
16
立个帖子,数一数二所有考研题,如需帮助,下边留言,我可以帮忙做,
某处处于我
数一数二,请把问题列出来,最好拍照,有不理解的地方,我也可以尝试帮忙解析。欢迎提问,留言
考研
450
9
考研,材料,求助专业课课本用书和数学二课本用书推荐,也可以推荐一下资料,
小熊熊a
请问各位老师、学长、学姐,考研专业课课本,是买要考的学校使用的教材吗??还是任意买一本都可以,材料科学基础,请问在哪里能找到这些相关资源呢??暂时看了,哈工大,北科,中国科学院,北理工,北航,等等学校,都是材料,我是四川的,在成都读书,不想待在四川,因为生活节...
考研
600
12
求问这道无机化学题解法
没羞没臊
好像没见过这样的题...
考研
150
3
求问催化读研方向
臻涟
想问问各位前辈,,催化读研有什么方向,,每个方向怎么样呢?本科985
考研
1100
22
南京大学2017年化学考研真题回忆(有机化学加仪器分析)
夏至辰星
同志们,加油!坚持!勿忘初心!
考研
200
4
合成大佬快来看看
李时珍的皮
1氯代醋酸乙烯酯和环己酮反应得到什么?
考研
250
5
19北大有机化学统招还招人吗
,H2O
因为听说北大化院从今年开始就不招研究生了,,,,
考研
200
4
求助华东师大物化方向师哥师姐
初学者?之路
2019考研,本科普通一本化学系,准备报考华东师大物化方向,但是现在不太了解该如何去准备,往年报录比如何,有经验的师哥师姐可否指导指导呀
考研
350
7
急求南京大学有机和仪分16年17年回忆版真题~
帝十
急求南京大学有机和仪分16年17年回忆版真题~
考研
650
13
华理有机化学803真题
wuweijun137
华理有机化学803真题
考研
150
3
像是在打了个赌
太空人92
感觉自己的人生像是在打赌,2016年没有考上研究生,没有选择在学校继续二战,迫于无奈地就了业,在一家药企,很不喜欢自己的工作,那种身体地痛苦,心酸,始终想逃离它。17年的3月份开始,内心惶惶,晚上也睡不着,有时不是梦在学校里,就是梦在准备考试。我发现,只有安稳...
考研
400
8
希望虫友们指点迷津
2396288648
我现在是一名大二的地州二本院校的生物技术专业的学生,两年后想考研但是现在还是很迷茫
考研
150
3
46218
1 ...
‹‹
884
885
886
887
888
889
››
... 1541
板块导航
网络生活
育儿交流
健康生活
有奖问答
资源共享
课件资源
试题资源
化学化工
有机
高分子
无机物化
分析
催化
工艺技术
化工设备
化工
精细化工
电化学
环境
专业学科
机械
物理
数学
农林
食品
地学
能源
信息科学
理工农林
科研生活
博后之家
专业外语
外语学习
导师招生
找工作
招聘信息
考研
考博
公务员
生物医药
新药研发
药学
药品生产
分子生物
微生物
动植物
生物科学
医学
材料
材料
材料工程
微米纳米
晶体
金属
非金属
生物材料
功能材料
复合材料
计算模拟
第一原理
量子化学
计算模拟
分子模拟
仿真模拟
程序语言
学术交流
论文投稿
基金申请
学术会议
出国留学
留学生活
公派出国
访问学者
海外博后
留学DIY
签证指南
出国考试
海外院所
注册执考
化工工程师
执业药师
执业医师
环境工程师
会计师
注册考试
24小时热帖
换一批
A期刊撤稿
5
临港实验室与上科大联培博士招生1名
8
26申博自荐
7
想换工作。大多数高校都是 评职称时 认可5年内在原单位取得的成果吗?
4
带资进组求博导收留
9
应助之星
babero
+关注
手搓电池人
+关注
sinubi
+关注
czyzsu
+关注
北京莱茵润色
+关注
下载小木虫APP
与700万科研达人随时交流
二维码
IOS
安卓
欢迎监督和反馈
:小木虫仅提供交流平台,不对该内容负责。
欢迎协助我们监督管理,共同维护互联网健康,违规贴举报删除请联系邮箱:xiaomuchong@tal.com
(点此查看侵权举报方式)
我们保证在7个工作日内给予处理和答复,谢谢您的监督。
©2001-2025 muchong.com,小木虫
京ICP备16008351号
京公网安备 11010802022153号
Copyright © 2001-2025 muchong.com, All Rights Reserved. 小木虫 版权所有