小木虫
登陆
|
注册
首页
导读
期刊
发现
社区
招聘老师
当前位置:
小木虫首页
>> 考研
南中医643资料
零 露
求南中医643中药学考研资料,可以有偿
考研
550
11
南开生化分子考研真题 求助
靳娜娜lv
南开生化分子考研真题求助
考研
250
5
寻兰大行政管理研究生小哥哥小姐姐
小棉袄呀
本人19级考生,跪求兰大行政管理研究生师哥师姐,对管理学参考书目一直很迷糊,求指点~
考研
250
5
中科院北京化学所
sylvie_t
数学已经开始复习了,但最近又了解想考北化所,想请教一下考到北化所的学长们,物化和高分子化学物理是出题难,还是复试刷人多呢,一直在纠结研究生考不考数学的问题,感觉决定了如果失败连调剂的机会都没有。
考研
400
8
苦难历练出来的人生才是赢家。
竹本无心。
一路曲折坎坷。最终还是去了想去的985。感谢他们感谢自己。
考研
750
15
18华南理工化工考研初试经验
frank滕
18年考研华南理工化工的专硕,初试数二107,英语二81,物理化学二131,政治64,总分383.数学:八月份左右开始复习的数学,我是一边看张宇的每部分的视频,对应做的18讲对应部分的题目。大概6月份左右我就尝试过复习数学,但是学不进去,后来学校还得生产实习一...
考研
950
19
考研一年的艰辛,最后的结果却不尽人意
依依怡999
回看这一年,付出了很多的努力,但是最后还是没有一个好的结果,有点感慨。选择比努力更重要,可是自己好像从来没有选择对过。上一年的三月份开始准备考研,跟同学一起选学校,选专业。不知道当时为什么就是一门心思想着要跨考药学,本专业是应用化学专业,没有学过生理和生化,咨...
考研
1350
27
调剂成功散尽金币,感谢
五月de天
调剂成功散尽金币,感谢
考研
1200
24
数学的解题思路是怎么来的
I好好学习I
各种解题的思路是怎么来的。为什么就这样动笔。依据是什么。是经验还是固有的模板。
考研
1000
20
19制药工程考研
小女子ii
现在院校还没想好,考虑华东理工,复试好晚,怕以后不好调剂,南开大学制药工程都是被调剂去的,给点建议
考研
200
4
18年本科双非 成功考取中国农业大学食品学院学硕
wxyzhm
18年双非考取中国农业大学食品学院,一路走来,知道考研的艰难与不易。乐意分享自己的经验,如果有学弟学妹有任何考研问题,都可以私我哇[Lasteditedbywxyzhmon2018-4-11at10:36]
考研
250
5
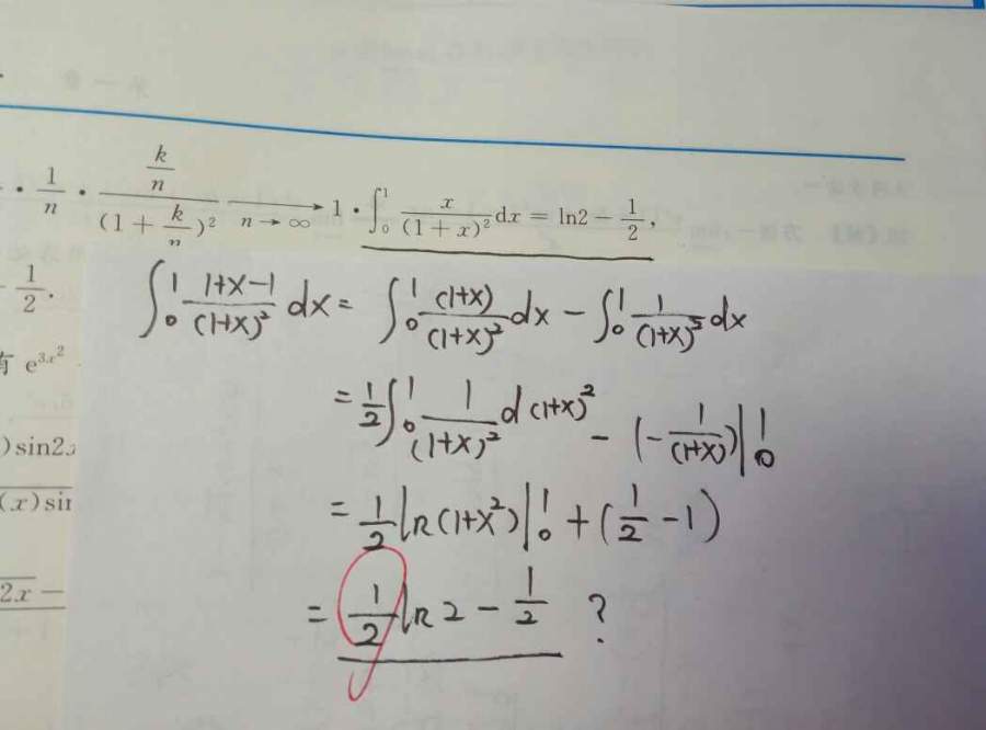
一道简单定积分题
5449451555
为什么我算出的答案前一项多个1/2呢?
考研
1450
29
求中国农业大学的空床位
zqqq权
本人大四,复试被刷,希望能有好心的同学租个空床位给我,谢谢!中国农业大学东校区
考研
550
11
帮帮忙……谢谢
导电
有华中师范大学化学专业的学长学姐吗??想了解一下考研需要哪些准备
考研
1400
28
二战如何选专业
2010mao
本科学的偏药学,一战考研报考的是化工,现在二战是考药学?(学校,专业,资料相当于重头再来)还是化工?(数学不怎么好)
考研
500
10
上科大物质学院夏令营福州宣讲会
ροωωγ
物质学院大学生夏令营招生宣讲第一站--福州1、福州大学时间:4月13日(周五)下午3:00地点:旗山校区嘉锡楼413室2、福建师范大学时间:4月15日(周日)下午4:30地点:旗山校区知明2-101教室上科大18年夏令营宣讲开始了,欢迎转发给在福州读书大三的化...
考研
200
4
华东理工大学轻工专业研究生
落落Ella
请问有没有考上华东理工大学轻工专业的学长学姐可以传授一下经验?感激感激
考研
150
3
建筑与土木求调剂
安若锦年95
学校复试晚,复试被刷。349分。还有学校招收土木的调剂生吗?
考研
250
5
普通二本的研究生究竟值不值得读
lmm229
决定考研的时间比较早,大二下学期想考研,大三上学期开始准备,一直到考研结束。由于基础太差,但当初一心想考名校,报了华东师范,本科普通二本,理学350,没上之后,一直找调剂,好不容易调了一个学校,但也是二本,综合排名在我本校之后,看到同班同宿舍都上了第一志愿,都...
考研
2550
51
地下水和水文水资源哪个更好一点?
麒麟山打井
本人211大学地下水科学与工程大三女,准备考研。想请教一下各位前辈,考研地下水和水文水资源哪个方向更好一点?
考研
1500
30
求命名,这个怎么命名啊
阳光下的小虫
求命名,这个怎么命名啊
考研
150
3
天津大学与厦门大学
954638
本人本科学习的专业是新能源材料,主要从事锂电池或太阳能电池的研究,考研的话打算材料类的基本都可以,现在想考天津大学或者厦门大学,想求助下哪个学校更好考一点天津大学的报录比一直都不公布,听别人传是10:1,厦门大学的材料学院报录比官网上大概是6:1。我本科在一群...
考研
1700
34
求电子通信类调剂信息
刘萌jp
虽然打算二战了,可还是想再试一试,明知道希望渺茫,可能是求心里能舒服一点吧通信原理:106政治:58数学一:94英语一:63总分:321第一报考志愿:北邮
考研
350
7
教育类考研求各位大佬推荐
洛桁宴
本科是非常非常垃圾的本科,一战英语专业考英语MA失利,考了事业编以后感觉对教育类还比较有兴趣,有没有大佬有这方面的推荐,想报考211985类又怕有本科歧视....二战优势的话大概就是英语比较好,政治大概知道怎么回事啦
考研
150
3
拟录取中,散金。
凌云qq
散金,混迹小木虫四五年了,终于要当上研究生了,希望大家都有一个好的结果。还有几个月努力挣学费,然后痛痛快快玩几天,去迎接接下来的三年。
考研
23900
478
学化学相关专业的 大二时期的“大创”对考研帮助很大吗?
sundingya
想了解下化学相关专业(我学的是制药工程)是否参加大创或有相关大创的成果对考研面试的时候很重要吗
考研
200
4
化工专硕,有没有奖学金啊,
米哎的酒
想问一下,化工专硕有没有奖学金和国家补助。
考研
300
6
已被一志愿拟录取,但是没有接到电话也没短信
AG阿棍
一志愿的同学,大家是不是也这样?我只在拟录取名单看到了自己的名字.但没有电话通知也没有短信,心里不安……毕竟考个研不容易……
考研
1000
20
19考研兰州大学期待学长学姐现身
ryh12345666
有没有已经考上兰州大学应用统计专业的学长学姐呀,期待你们的现身
考研
400
8
天津大学与厦门大学
954638
想考天津大学或者厦门大学的能源学院,想问问哪个学校的这方面更好一些,主要方向是新能源材料方向
考研
950
19
46216
1 ...
‹‹
565
566
567
568
569
570
››
... 1541
板块导航
网络生活
育儿交流
健康生活
有奖问答
资源共享
课件资源
试题资源
化学化工
有机
高分子
无机物化
分析
催化
工艺技术
化工设备
化工
精细化工
电化学
环境
专业学科
机械
物理
数学
农林
食品
地学
能源
信息科学
理工农林
科研生活
博后之家
专业外语
外语学习
导师招生
找工作
招聘信息
考研
考博
公务员
生物医药
新药研发
药学
药品生产
分子生物
微生物
动植物
生物科学
医学
材料
材料
材料工程
微米纳米
晶体
金属
非金属
生物材料
功能材料
复合材料
计算模拟
第一原理
量子化学
计算模拟
分子模拟
仿真模拟
程序语言
学术交流
论文投稿
基金申请
学术会议
出国留学
留学生活
公派出国
访问学者
海外博后
留学DIY
签证指南
出国考试
海外院所
注册执考
化工工程师
执业药师
执业医师
环境工程师
会计师
注册考试
24小时热帖
换一批
网上报道青年教师午睡中猝死、熬夜猝死的越来越多,主要哪些原因引起的?
10
为什么中国大学工科教授们水了那么多所谓的顶会顶刊,但还是做不出宇树机器人?
13
什么是人一生最重要的?
8
版面费该交吗
17
体制内长辈说体制内绝大部分一辈子在底层,如同你们一样大部分普通教师忙且收入低
19
应助之星
donkey2017
+关注
北京莱茵润色
+关注
下载小木虫APP
与700万科研达人随时交流
二维码
IOS
安卓
欢迎监督和反馈
:小木虫仅提供交流平台,不对该内容负责。
欢迎协助我们监督管理,共同维护互联网健康,违规贴举报删除请联系邮箱:xiaomuchong@tal.com
(点此查看侵权举报方式)
我们保证在7个工作日内给予处理和答复,谢谢您的监督。
©2001-2026 muchong.com,小木虫
京ICP备16008351号
京公网安备 11010802022153号
Copyright © 2001-2026 muchong.com, All Rights Reserved. 小木虫 版权所有