小木虫
登陆
|
注册
首页
导读
期刊
发现
社区
招聘老师
当前位置:
小木虫首页
>> 考研
考材料类研究生前途如何
三少爷的酒
普通二本学生,本科高分子材料与工程,想考本专业材料专业的研究生。想问一下以后前景如何。请大家帮忙解答。
考研
250
5
本科环境工程跨专业考研什么专业比较好
ZPNB
首先感谢大家,我本科是环境工程专业的,想跨专业考研,缺点是数学基础和化学比较差。法律硕士怎么样?大家有什么好的建议吗
考研
150
3
沈农食品专业考研分数线
Rzzzzzzz
求问沈阳农业大学食品科学考研分数线?
考研
150
3
寻上海大学研究生有机化学学长学姐
糊涂酱
想买考研资料,怕买到假题浪费复习时间,有没有热心的学长学姐帮忙给点建议
考研
150
3
考西交大化学,不知道怎样努力。目前物化复习了上册?有机还没看。
Arwenmao
有考西交大化学的嘛?交流下怎么复习。
考研
250
5
有问题想请教,各位大神
2836997390
芦丁对照品和芦丁标准品,都可以用于银杏叶黄酮标准曲线的制作吗?
考研
600
12
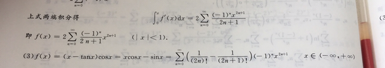
各位大神,麻烦看看级数题哪里不对
847939746
为啥求导后积分不对,漏掉了什么?
考研
700
14
考研选什么专业,可以支招吗
啦啦啦啦吧
我是金属材料工程专业的一枚学生,想要考研,不知道可以考什么专业什么学校,请有经验的学姐学长支招。
考研
650
13
申请了夏令营,散金祈福
巧乐兹2018
申请了夏令营,散金祈福
考研
2550
51
请教各位大神,羟基磷灰石的晶胞结构怎么画啊?
小旭xiaoxu
请教各位大神,羟基磷灰石的晶胞结构怎么画啊?刚刚接触这一块,完全不懂,多谢高手们帮帮我!不胜感激。
考研
150
3
通知书邮寄地址
t191877459
大佬们报名时填的通讯地址忘记写的哪了?在哪能查到啊
考研
800
16
江南大学,精细化工,19考研
似姨呀
有一起考的研友嘛,或者有学长学姐嘛?想咨询一些问题,例如研究生毕业就业前景怎样emmm..刚下载这个软件,一共就五个金币,别嫌少...
考研
200
4
本人打算考在职研,跪求资料,2018年的即可,多谢大佬
mid-summer
本人打算考在职研究生,工科,英语二,数学二,政治如果各位大佬有2018年的资料,分享给我吧,谢谢。对于特别忙的上班族来说,做出考研这个决定真的不容易
考研
350
7
『大师干货』八段话的考研长文怎样略读与简读?怎样在语境中把握单词的具体含义?
master0901
应该是世界上数一数二的英文阅读语篇、结构、层次、速读快读略读的深度超精解每篇文章结合具体真题打开,是真正的大师级泰斗作品!取消送花,直接下载吧!
考研
14500
290
给我一个去图书馆的理由
萌萌的喵
不喜欢图书馆的氛围,不想去图书馆自习怎么办呢
考研
900
18
湖南大学化学考研
nhxpy
寻求湖南大学化学初复试真题的答案,最新一年回忆版,近年期末期中试题,专业课资料。
考研
1000
20
求问各位大佬上海药物所统招药化多少人
水木六年
如题经常看到有说每年招6.7个的,问一下是真这样还是和官网上的招生计划统一(二十几个?)??
考研
150
3
西交大翻硕资料
YQfighting
请问有没有西交大的翻硕研究生学长学姐啊,19考研,需要专业课资料,有没有学长学姐帮助一下,谢谢了![LasteditedbyYQfightingon2018-6-6at15:40]
考研
250
5
郑大有机化学学习指导有新版了吗
逆尘之上
各位朋友,我想问一下郑州大学自己出的有机化学学习指导出新版了吗,我这里只有2016年还在用的那一版,我是别的学校的,正准备考郑州大学研究生,谢谢了!
考研
700
14
有伙伴一起考研吗?
吧呐
2020届哒,有人儿从今年9月份开始一起奋斗吗?
考研
400
8
有轻工技术与工程发酵工程方向的研究生学长吗
刘东晓6616
有轻工技术与工程发酵工程方向的研究生学长吗?或者已经工作的,这个专业工作的前景如何?
考研
900
18
19考研,江南大学
似姨呀
精细化工(化妆品方向),学硕和专硕有什么区别
考研
750
15
分析化学 复习 求推荐习题集
1476367628
考研专业课,考分析化学武大第五版,有没有习题书推荐,谢谢各位虫友
考研
200
4
找专业课学长学姐
shwening
有以下专业课资源的学长学姐,能够提供辅导的,请私聊我,报酬丰厚。1,武汉大学印刷与包装系轻工技术与工程印刷电子方向954色彩学2,中国矿业大学材料科学与工程学院材料科学与工程专业819材料科学基础3,山东建筑大学热能工程学院建筑与土木工程暖通空调方向812传热...
考研
500
10
寻求东北师范大学的物化是专业的学长学姐
冰堡瑶池
我是19年1的考研党,想考东师,不知道有没有18年考上东师的小姐姐小哥哥,物化专业是,本人想买物化的真题和资料,如果有请留言我加你,谢谢啦
考研
400
8
天津大学材料学院与化工学院的材料学的区别?
c?s97
纠结考材料院还是化工院,请问考上这俩学院的学长学姐或天大老师他们的区别?各有什么擅长的方向或实力对比。欢迎发言!
考研
600
12
福州大学接受非211学校调剂吗??
不易3
本人非211本科想冲一下985,考虑到可能考不上想调剂去福大。
考研
600
12
19南开药化考研
树袋熊9696
本人本科兰州大学药学院,19考研想考南开大学药物化学专业,首先官网没有参考书,网上说的参考书药物化学是仉文升版,淘宝说绝版了。。。所以仍旧复习那个会不会知识点不全面?其次本人本科成绩比较差,挂过科,想问有什么对策,注意事项?
考研
650
13
求东华有机化学专业课真题
asdw1232
求东华有机化学专业课真题
考研
950
19
求助中南大学化学化工的考研资料
参差十万人家
需要730有机化学和912无机化学的参考教材(或者麻烦告知是什么什么教材我自己去上网买)如果能有真题就更好了。
考研
600
12
46217
1 ...
‹‹
538
539
540
541
542
543
››
... 1541
板块导航
网络生活
育儿交流
健康生活
有奖问答
资源共享
课件资源
试题资源
化学化工
有机
高分子
无机物化
分析
催化
工艺技术
化工设备
化工
精细化工
电化学
环境
专业学科
机械
物理
数学
农林
食品
地学
能源
信息科学
理工农林
科研生活
博后之家
专业外语
外语学习
导师招生
找工作
招聘信息
考研
考博
公务员
生物医药
新药研发
药学
药品生产
分子生物
微生物
动植物
生物科学
医学
材料
材料
材料工程
微米纳米
晶体
金属
非金属
生物材料
功能材料
复合材料
计算模拟
第一原理
量子化学
计算模拟
分子模拟
仿真模拟
程序语言
学术交流
论文投稿
基金申请
学术会议
出国留学
留学生活
公派出国
访问学者
海外博后
留学DIY
签证指南
出国考试
海外院所
注册执考
化工工程师
执业药师
执业医师
环境工程师
会计师
注册考试
24小时热帖
换一批
网上报道青年教师午睡中猝死、熬夜猝死的越来越多,主要哪些原因引起的?
6
面上可以超过30页吧?
11
版面费该交吗
15
体制内长辈说体制内绝大部分一辈子在底层,如同你们一样大部分普通教师忙且收入低
18
为什么中国大学工科教授们水了那么多所谓的顶会顶刊,但还是做不出宇树机器人?
10
应助之星
babero
+关注
猫鱼是鱼
+关注
山西悬空寺空悬西山
+关注
下载小木虫APP
与700万科研达人随时交流
二维码
IOS
安卓
欢迎监督和反馈
:小木虫仅提供交流平台,不对该内容负责。
欢迎协助我们监督管理,共同维护互联网健康,违规贴举报删除请联系邮箱:xiaomuchong@tal.com
(点此查看侵权举报方式)
我们保证在7个工作日内给予处理和答复,谢谢您的监督。
©2001-2026 muchong.com,小木虫
京ICP备16008351号
京公网安备 11010802022153号
Copyright © 2001-2026 muchong.com, All Rights Reserved. 小木虫 版权所有