小木虫
登陆
|
注册
首页
导读
期刊
发现
社区
招聘老师
当前位置:
小木虫首页
>> 考研
无机化学求大神解答
yiyeah
三种有机分子或离子trien,tren,nta3+均为常见的四齿配体,请回答以下问题(1)试比较三种配体的异同处(2)推测当trien和tren分别与两个单齿配体X一起与中心金属M配位形成六配位配合物[MX2(trien)]或[MX2(tren)],哪一种配合...
考研
500
10
上了一年班,突然想考研了
a乖乖女
北漂,月光族,化学专业,突然想考研了,只求要个学历,太好的也考不上,在北京的学校就好了,各位大神们有什么合适的院校推荐吗?今年考不上也没关系,只当为明年做准备啦
考研
4600
92
国外读研奖学金申请问题
gajdu021
本人正在申请英国硕士研究生,请问各位前辈,达到什么条件可以申请奖学金呢?或者说有没有什么办法可以有希望拿到类似公派出国的相关政策。想能减轻家庭一点负担,能减轻一点是一点
考研
8350
167
求助一道考研题
bebabo
麻烦大家帮忙看一看这道题选什么,原因是什么,谢谢啦
考研
550
11
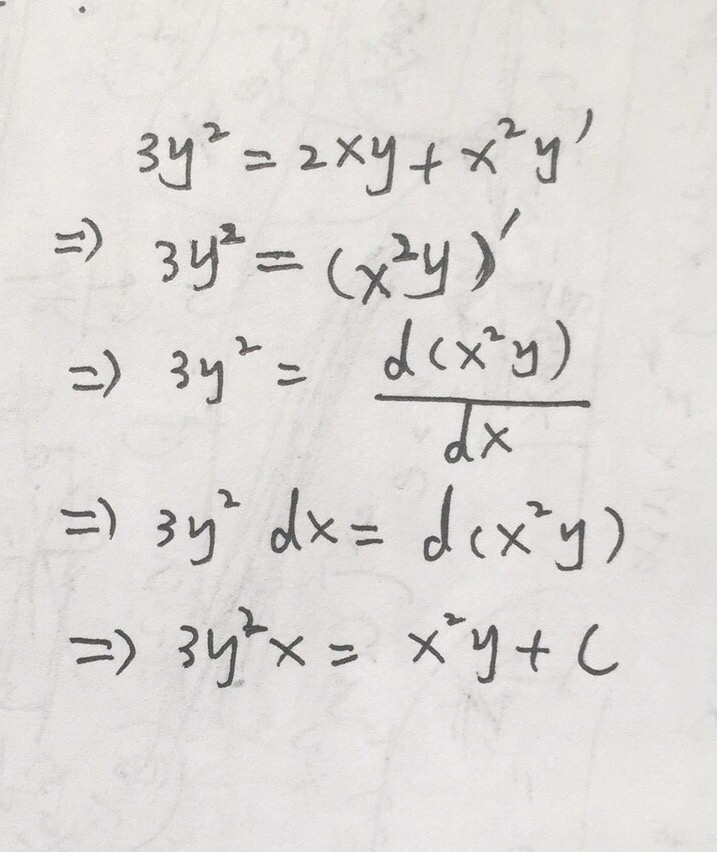
微分方程问题求助
zax111zax
我这样的步骤错在哪里?
考研
450
9
川大公共管理在职或重大会计在职
小喵喵喵咪
女生,很喜欢学校时光,就想考在职来玩,请问大家川大公共管理在职好考还是重大在职会计好考,准备考成都或重庆公务员
考研
1800
36
求助一道关于极限的题
Free.Eren
求答案详解,可写在纸上
考研
400
8
求解答一道关于极限的题
Free.Eren
求各个答案详解,可以写下来,发图片
考研
2850
57
求中石油930化工原理(II)
酸梅汤
求中石油930化工原理(II)
考研
150
3
中科院考研求助
瑾岚
请问有中科院青岛能源所的师兄师姐吗?考研求助
考研
550
11
物理化学 选择题第2题
小啊小叮当
请问大家这道题怎么做?
考研
150
3
物理化学 选择题345都不会
小啊小叮当
物理化学 选择题345都不会
考研
200
4
20年考研,半导体方向求助
搞材料到头秃
本人武汉本科双非一本,材料物理专业,明年考研想考半导体方向,请问各位前辈有没有推荐的非湖北省985院校?麻烦各位了
考研
150
3
华东理工大学材料考研
千178
求助,华东理工大学20材料考研,无机非方向。有没有学长学姐分享一下经验
考研
200
4
制药工程考研方向有哪些?
小机灵呐
本科制药工程专业,目前大三。有机化学比较弱,考研的话,有没有哪些学校的相关专业是不考有机化学的。自己在网上查了一些,只找到了中山大学的药剂学似乎不考有机。希望大家给些其他参考,谢谢啦。
考研
600
12
求北京化工大学真题
strabarry
求北京化工大学化工专业考研历年真题
考研
5100
102
长三角地区考研选校
zyq11223
想考个人工智能方向的在职研究生,浙江大学,南京大学,上海交大,复旦同济等,没有查到他们有招收相关方向的在职研,求助一下大家,长三角地区招收相关方向的在职研的学校,谢谢大家。
考研
850
17
药剂学考研院校选择
辰砂@
想考药剂学的研究生,有适合的院校推荐么
考研
550
11
大龄考会计学硕/专硕的有没有
松门雨
今年26了,想考会计学硕的研究生,为了以后能长期发展,如果是直接工作会不会永远在底层,忘了说我本科化工。有没有大龄再去考研的人,给个勇气!
考研
1100
22
制药工程专业考研方向
墨色流年
制药工程专业考研,女生考那些当年比较好,在实验室的时间较少,考工科的话哪些好呢,制药工程考专硕还是学硕好呢,
考研
700
14
分光光度法测维B12
marynobel
这个实验要怎么设计呢?
考研
350
7
考研 华科 药学院 药分
tong..
最近查的华中科技大学,药学院,药物分析学,2017年,2018年都没有录取统考生。。。我已经报了这个专业,要不要坚持??
考研
650
13
有机(顺带英语)
linyu哒哒哒
想问下各位为什么这两个产物是一样的呢(第一个那个点不涉及平面内外,只是不小心点了下)。此外还想咨询下用过商志作文一对一的师兄师姐们,真的有那么厉害吗?占用你们宝贵的时间了...
考研
1000
20
化工跨考教育学求推荐方向和院校啊
米米米Jay
今年大三化工专业考研想跨教育学具体方向不定很是迷茫啊
考研
1300
26
非法学法硕对于没有基础的好考吗
chnfyh
我本科是学化学的,但是本人挺喜欢法律的,想跨专业考研,考法硕,但是不知道是否好看,学校如何选??希望哥哥姐姐们知道的帮我回答一下非常感谢╰(*?︶`*)╯
考研
150
3
求中国海洋大学614专业基础综合A往年真题
欧阳晶莹
求中国海洋大学614专业基础综合A往年真题
考研
1600
32
这个题选什么,给我解释一下
诺贝尔获得者
这个题选什么,给我解释一下
考研
200
4
现在211的大三,考研想去广东,感觉华工没希望,还有其他学校好一点的吗?
见人叫声哥
如题,我家就是广东的,高考没考好出省了,现在想考研回家,想问一下材料类专业的广东有什么好学校或者研究所也行
考研
800
16
非全专硕有无读的必要
张梦梦沐沐
有人能帮忙分析分析非全日制专硕的价值值得读吗?注:非全日制选择的和全日制一起上课
考研
250
5
考研~湖南师范大学
tj1998124
求湖南师范大学考研有机化学题库大全
考研
150
3
46216
1 ...
‹‹
491
492
493
494
495
496
››
... 1541
板块导航
网络生活
育儿交流
健康生活
有奖问答
资源共享
课件资源
试题资源
化学化工
有机
高分子
无机物化
分析
催化
工艺技术
化工设备
化工
精细化工
电化学
环境
专业学科
机械
物理
数学
农林
食品
地学
能源
信息科学
理工农林
科研生活
博后之家
专业外语
外语学习
导师招生
找工作
招聘信息
考研
考博
公务员
生物医药
新药研发
药学
药品生产
分子生物
微生物
动植物
生物科学
医学
材料
材料
材料工程
微米纳米
晶体
金属
非金属
生物材料
功能材料
复合材料
计算模拟
第一原理
量子化学
计算模拟
分子模拟
仿真模拟
程序语言
学术交流
论文投稿
基金申请
学术会议
出国留学
留学生活
公派出国
访问学者
海外博后
留学DIY
签证指南
出国考试
海外院所
注册执考
化工工程师
执业药师
执业医师
环境工程师
会计师
注册考试
24小时热帖
换一批
什么是人一生最重要的?
6
为什么中国大学工科教授们水了那么多所谓的顶会顶刊,但还是做不出宇树机器人?
11
网上报道青年教师午睡中猝死、熬夜猝死的越来越多,主要哪些原因引起的?
9
【博士招生】太原理工大学2026化工博士
5
280求调剂
3
应助之星
donkey2017
+关注
北京莱茵润色
+关注
下载小木虫APP
与700万科研达人随时交流
二维码
IOS
安卓
欢迎监督和反馈
:小木虫仅提供交流平台,不对该内容负责。
欢迎协助我们监督管理,共同维护互联网健康,违规贴举报删除请联系邮箱:xiaomuchong@tal.com
(点此查看侵权举报方式)
我们保证在7个工作日内给予处理和答复,谢谢您的监督。
©2001-2026 muchong.com,小木虫
京ICP备16008351号
京公网安备 11010802022153号
Copyright © 2001-2026 muchong.com, All Rights Reserved. 小木虫 版权所有