小木虫
登陆
|
注册
首页
导读
期刊
发现
社区
招聘老师
当前位置:
小木虫首页
>> 考研
华东师范大学 “精密光谱国家实验室” 硕士生调剂名额
tsiangsun
华东师范大学,精密光谱国家实验室,硕士生名额(光学专业)fall2020职位描述申请人将主要致力于开发新的计算方法以应用于凝聚态中的超快非线性光谱的模拟,特别是针对溶液和界面中的有机光伏分子和发光分子等的光诱导电荷和能量转移动力学以及结构动力学。申请人将发展相...
考研
200
4
出大连理工0805z1高分子材料879高物高化真题资料
Gorgeous.
大连理工0805z1高分子材料879高分子物理高分子化学真题期末考试题考研资料
考研
250
5
应用化学考材料学研究生属于跨考吗?
樱桃味丸子
本人应用化学本科生在读,想要今年报考材料学专业的学硕,属于跨专业吗?复试需不需要加试两门专业课?
考研
200
4
书水控(高廷耀)第四版下册课后答案
大盈子幺~
求水污染控制工程第四版下册(高廷耀)的课后答案,有word版本的更好
考研
250
5
考研选学校(城市!)
lowscience
北方的孩子,想去感受一下南方的文化氛围、生物制药方向的985考研,大家可以推荐一下?想去一个气候比较比较舒适干燥的地方?……
考研
750
15
高分子化学与物理考研
不可夺志也
苏州大学和上海大学哪个高分子好点
考研
350
7
上海大学马克思主义理论考研专业646和884资源求分享
Wency1992
楼主大学毕业已经4年,目前在职,想选择一个好一点的平台也想探求职业发展的更多可能性,今年下定决心要考研,目前想考上大马克思主义专业,不知道各位虫友有没有专业课资源可以分享...
考研
16450
329
中央民族大学环境科学与工程专业介绍
LWP44988
在读学长给大家普及一个性价比极高的985高校——中央民族大学,985+211光环加身,位于北京海淀区西三环内,毗邻国家图书馆,地理位置十分优越!①民大有个理工科学院——生命与环境科学学院,下属一级学科:环境科学与工程。由于该校是属于文科类高校,所以理工科分数极...
考研
400
8
求助西南大学应用化学
笑笑笑考过吧
咨询关于西南大学研究生考试综合化学方面
考研
250
5
川大化学考研真题答案
望川必得
真诚求四川大学化学考研真题答案,如有资源还请慷慨分享,有偿也可!
考研
800
16
考全日制研究生还是在职研究生
dlyouli
小伙伴大家好,我是本科学历,在银行工作五年,专业非金融法律相关类,越来越觉得学历很重要,以后还想从事金融类的工作,我是考全日制的研究生呢,还是一边工作一边在职读研呢,在职的学费也挺贵的,有推荐的院校嘛?平时一直在学注会知识,如果今年报考是报会计,金融,工商管理...
考研
550
11
985硕士和央企选择
未来666
本人陷入僵局,985农学硕士(农药方向)而且是专业硕士和一个央企(年薪13W)不过需要长期倒班,怎么选择?本人2019年普通二本毕业生,家庭条件很一般,况且自己年龄偏大,身体素质不太好。请各位过来有经验的交流一下,不胜感激。
考研
800
16
基础有机化学 邢其毅
537-
有人有基础有机化学邢其毅第二版的电子版吗?
考研
400
8
中山大学化工专硕,学硕
活菌
化工专硕,学硕资料分享,并有详细资料!
考研
1000
20
有没有东北林业大学的学长学姐啊
理学化学调剂
需要东北林业大学的物理化学和无机化学真题,实在找不到了,跪求
考研
200
4
求浙大船海考研
lx。。。
路过的浙大海洋学院学长学姐能否分享一下浙大经验
考研
3550
71
跨考生态学硕士,有哪些学校推荐?
葵花,你好
各位大神好,本人本科是理工科的,想考硕士,但数学实在不行,想跨考理学的生态学硕士,有哪些大学收分不太高生态学硕士又比较好的学校,求推荐!!!
考研
200
4
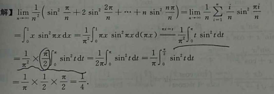
请教大家,划横线这步怎么得来的?
绛芸轩
如题,怎么直接把t消掉了,多出了二分之π,怎么得出这步的,谢谢大家啦^_^
考研
750
15
西湖大学研究所招生
WMQ青風軒
请问路过大神有没有了解西湖大学生物类的研究所招生情况?大学新建的似乎没有找到官方文件呢
考研
550
11
医学与数理化?
rooftopen
各位老师好!我是临床医学的本科生,即将大五,面临考研,发现自己仍旧惦念数理化和它们的学习、思维方式,对大量背书不那么擅长也不喜欢。加上在实习中发现自己对医患沟通不擅长、不喜欢,因而对自己的未来感到非常迷茫,也惭愧于自己的迟钝。请教各位前辈,临床的本科生考研有哪...
考研
250
5
我正处于一个很重要的人生抉择,求食品专业的学长的意见
宇凤加油
我是一个开学上大二的食品科学与工程的学生,正在考虑要不要转成师范生。如果转成师范生的话,那么我大三大四就要补大一的课程,但是我想考研,补大一课程需要时间,就会影响考研的结果。如果继续读食品,肯定要考研,但是身边的人说食品即使读研薪资也不高。我不排斥考研,也不介...
考研
200
4
女生考化学工程与工艺的研究生,,是否适合
nfn...
本人读的是化学工程与工艺专业,但是很多人说这个专业不适合女生,想问一下这个专业读研出来以后是做怎样的工作?都说分析适合女生,可是本人对分析没啥感觉,没兴趣,
考研
600
12
求土壤学学长学姐
xiaoyiwhere
我是20考研,专业课为土壤学,目标院校中科院生态中心,专业课复习有点迷茫。有没有考上的土壤学学长学姐啊?求助~
考研
350
7
西北农林科大和南农怎么选择
lhh98330
首先,声明一下,不是引战。这两所学校,如果考研的话,考哪个对未来发展就业比较好?对读博深造比较好
考研
450
9
求一份光学工程考研真题
风之子儿
求一份北京交通大学光学工程历年考研的真题,拜求各位学长学姐了。
考研
2350
47
有没有在华师大读应用数学数学教育的兄弟姐妹呀
yLccc
我实在没搞懂这个方向和学科教育数学的区别诶难道只有专硕和学硕的区别吗?数学系本科想做高中老师读哪一个更好呢,有没有学长学姐给点建议呀
考研
250
5
宁大研究生校友
piupiupiu1
小木虫里有没有今年考上宁大研究生的同学,现在自己一脸懵,希望通过这里能找到一个校友了解一下情况情况?
考研
300
6
请问各位大佬,考985.211硕士和普通硕士区别在哪?
悸动的信仰
请问各位大佬,考985.211硕士和普通硕士区别在哪?我打算研究生毕业之后考选调生或者国企,必须要考985.211的硕士吗?
考研
1100
22
为什么改变了色谱系统还可以继续做比较?
LeeYoki
这是第八版药物分析教材411页的内容。有两个问题:1.色谱条件都不一致了还怎么比较?2.为什么用自身对照外标法可以测定高分子杂质含量?我的理解是:将药物转化为缔合物时候所...
考研
250
5
北师大理论物理考研真题
苑帅康
求北师大理论物理考研专业课真题,726普物和959量子,我的邮箱号是:'1679236028qq.com'。感谢您的分享。
考研
200
4
46218
1 ...
‹‹
279
280
281
282
283
284
››
... 1541
板块导航
网络生活
育儿交流
健康生活
有奖问答
资源共享
课件资源
试题资源
化学化工
有机
高分子
无机物化
分析
催化
工艺技术
化工设备
化工
精细化工
电化学
环境
专业学科
机械
物理
数学
农林
食品
地学
能源
信息科学
理工农林
科研生活
博后之家
专业外语
外语学习
导师招生
找工作
招聘信息
考研
考博
公务员
生物医药
新药研发
药学
药品生产
分子生物
微生物
动植物
生物科学
医学
材料
材料
材料工程
微米纳米
晶体
金属
非金属
生物材料
功能材料
复合材料
计算模拟
第一原理
量子化学
计算模拟
分子模拟
仿真模拟
程序语言
学术交流
论文投稿
基金申请
学术会议
出国留学
留学生活
公派出国
访问学者
海外博后
留学DIY
签证指南
出国考试
海外院所
注册执考
化工工程师
执业药师
执业医师
环境工程师
会计师
注册考试
24小时热帖
换一批
写了一篇“相变储能技术在冷库中应用”的论文,论文内容以实验为主,投什么期刊合适?
3
需要合成515-64-0,50g,能接单的留言
3
最近几年招的学生写论文不引自己组发的文章
10
中科院杭州医学所招收博士生一名(生物分析化学、药物递送)
3
临港实验室与上科大联培博士招生1名
8
应助之星
babero
+关注
手搓电池人
+关注
sinubi
+关注
czyzsu
+关注
北京莱茵润色
+关注
下载小木虫APP
与700万科研达人随时交流
二维码
IOS
安卓
欢迎监督和反馈
:小木虫仅提供交流平台,不对该内容负责。
欢迎协助我们监督管理,共同维护互联网健康,违规贴举报删除请联系邮箱:xiaomuchong@tal.com
(点此查看侵权举报方式)
我们保证在7个工作日内给予处理和答复,谢谢您的监督。
©2001-2025 muchong.com,小木虫
京ICP备16008351号
京公网安备 11010802022153号
Copyright © 2001-2025 muchong.com, All Rights Reserved. 小木虫 版权所有