小木虫
登陆
|
注册
首页
导读
期刊
发现
社区
招聘老师
当前位置:
小木虫首页
>> 论文投稿
外审(3)是得三个专家嘛,有点慌
yang934642
外审(3)是得三个专家嘛,有点慌
论文投稿
850
17
Cell新出期刊定位探究
qxly84
通过研究并比较各期刊的出版要求、咨询委员会和编委会成员,得出Cell新出期刊定位如下:Joule对标NatureEnergyJoule,asisterjournaltoCell,isahomeforoutstandingandinsightfulresearc...
论文投稿
4750
95
影响因子低的一区
id号是啥
想问问大家有没有推荐一下,哪些一区跟电化学相关的期刊,影响因子在7左右,或者低于7,恳求大家多多推荐一下
论文投稿
750
15
Access每次都给我更换审稿人怎么办?
177250
马上要投第五次了,每次在coverletter里写不更换审稿人,但是结果返回意见一看都把审稿人换了。按照修改意见修改好了之后,投完返回的意见一看,原来接受的审稿人不审了,又给换个新的审稿人,又提出新的问题。按照新问题改完之后,又换审稿人提新的问题,还得重新投!...
论文投稿
650
13
nano research有人投过吗?好投吗?要等很久吗?
zouyn
nano research有人投过吗?好投吗?要等很久吗?
论文投稿
1700
34
求问Pattern Recognition审稿速度如何?
RecSys
一审需要多长时间?
论文投稿
1600
32
祈福NODY不要秒拒
俞锦涛
今天刚投,网站太慢了,开头就很曲折,希望以后顺利
论文投稿
500
10
With AE 散金祈福!
哈哈\\\'SCI
突然变成WithAE,求好运!
论文投稿
5950
119
关于 CHINESE JOURNAL OF CHEMICAL ENGINEERING,有问题请您解答
aygxy_lhc
原先没投过这个期刊,现在有篇论文想投这个期刊,有些问题如下:(1)期刊是否有审稿费?(2)期刊版面费多少?(3)期刊会对一些来自双非学校的稿件,产生歧视吗?菜鸟一枚,请您帮忙!
论文投稿
450
9
萌新求期刊推荐
a402366387
目前做了一些福建土楼材料的成分分析,想投一篇,不清楚有哪些可以投,请各位大佬推荐推荐
论文投稿
350
7
中国电机工程学报投稿进度
tyler0999
投的中国电机工程学报一审专家三个,修回去,二审专家变成两个了,这是啥意思呀?---------------------------------------------------------------------------收稿编辑部2019-10-2320...
论文投稿
250
5
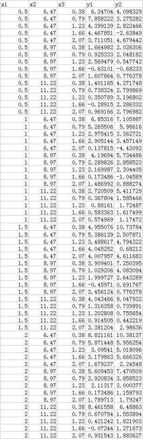
三个自变量回归方程
ym0318
求助大神,帮忙回归两个关联式,三个自变量
论文投稿
450
9
文章接受,散金!
唐伯虎留哥1
赶在2019年末,接受了一篇3区,散金!祝各位也发文顺利!明年越来越好!
论文投稿
12200
244
怎样算高水平论文?
雨幕霏霏
是不是引用高了就算高水平?有没有一个标准。
论文投稿
250
5
IEEE/asme Transactions on Mechatronics 审稿流程
快乐出fa
11.29投了一篇IEEE/asmeTransactionsonMechatronics,25天的时候状态变为underreview,28天的时候状态变为awaitingreviewersassignment,30天(今天)又变成了underreview,这是...
论文投稿
350
7
专利撰写,需要带动物实验吗
肿瘤靶向材料
如题,这周五刚写好了人生第一篇sci,现正在修改中,然后开始写专利,包括材料合成,细胞实验,动物实验部分,写专利的时候需要将动物部分写进去吗,是不是写入动物实验部分会增加授权的机率?[Lasteditedby肿瘤靶向材料on2020-1-8at12:20]
论文投稿
300
6
如何回复拒稿人创新性不够的意见?
搞不懂の晴天
iEEEAccess收到意见,两个接收修改,一个拒稿不建议重投,意见是Reviewer:3Recommendation:Reject(donotencourageresubmit)Comments:Icannotrecommendtheacceptanceof...
论文投稿
1550
31
ACS推出环境新刊ACS EST Water与ACS EST Engineering
Aryan
'https://pubs.acs.org/journal/aeecco''https://pubs.acs.org/journal/aewcaa'当提起热门领域,或者if暴涨等概念,大家普遍都会认为是能源材料,纳米等等。但其实这些年环境领域也丝毫不逊色。看看...
论文投稿
550
11
Elsevier's Author Desk 大概需要多久才会发推荐期刊的邮件
封装4号
小弟投了一个爱思唯尔的杂志,但是这个期刊给拒了,然后邮件上说会有来自Elsevier\'sAuthorDesk的后续邮件推荐期刊,这个一般还需要多久才能收到啊
论文投稿
200
4
ieee sensors journal被拒,是否有必要重投?
kiwi1
有两个问题:1.是否有必要重投?2.审稿意见有一些是要补充实验数据的,有些我无法做更准确的说是没时间做了,如果重投,这些实验不补,会凉凉么。。3.如果有推荐的期刊,请给俺一点希望,可怜巴巴凄凄惨惨头都大了。。感恩目前情况——一方面,我必须最迟5月中旬收录,事关...
论文投稿
800
16
电测与仪表投稿
zpsdut
昨天投了一篇电测与仪表的小论文,希望能被接收
论文投稿
1350
27
中文会议文章标题的格式问题
mxc_inside
一方面要求文章标题用【黑体】。。另一方面又要求英文用【TimesNewRoman】。。请问下那文章标题中的英文是该用黑体还是TimesNewRoman呢。。谢谢。。!
论文投稿
150
3
applied intelligence小修一般多久返结果啊
qy3059
applied intelligence小修一般多久返结果啊
论文投稿
200
4
需要翻译/语言润色/降重请进
xatyrat261
需要翻译/语言润色/降重请进
论文投稿
150
3
生物传感相关期刊 2019-12-29实时IF及与去年同期对比
Tiriosh
2019-12-29SmallMethods11.206Small10.879BB9.853ACSAMI8.509Theranostics8.238ACSSENS7.044SNB6.800Nanoscale6.662LabChip6.617AC6.559201...
论文投稿
150
3
希望文章顺利接收,散金求好运
幽儿Una
大修返回,目前underreview,感谢编辑放假还工作,希望自己第一篇SCI顺利接收,散金求好运
论文投稿
1750
35
中成药投稿后付审稿费汇款账号
鲤鱼虾
文章投了中成药杂志,然后要付审稿费后再审稿,但是没有看到汇款账号,只有编辑部的地址,怎么汇款啊?急求!!!
论文投稿
1350
27
老师一作还是学生一作
帅气小刚仔
用老师一作更容易中吗
论文投稿
850
17
论文接收,博士学校差不多确定,感觉还不错新年散金
绅士sch
论文接收,博士学校差不多确定,感觉还不错
论文投稿
1500
30
小修提交已经二十多天了,还是审稿中,真的是放假了吗
嗨起来hi
投了美国某一区sci,一审大修,二审小修。已经二十多天了,很安静,没啥动静,还是显示审稿人在审稿。真的是放假了吗?散金66,祈福接收埃
论文投稿
4300
86
80306
1 ...
‹‹
403
404
405
406
407
408
››
... 2677
板块导航
网络生活
育儿交流
健康生活
有奖问答
资源共享
课件资源
试题资源
化学化工
有机
高分子
无机物化
分析
催化
工艺技术
化工设备
化工
精细化工
电化学
环境
专业学科
机械
物理
数学
农林
食品
地学
能源
信息科学
理工农林
科研生活
博后之家
专业外语
外语学习
导师招生
找工作
招聘信息
考研
考博
公务员
生物医药
新药研发
药学
药品生产
分子生物
微生物
动植物
生物科学
医学
材料
材料
材料工程
微米纳米
晶体
金属
非金属
生物材料
功能材料
复合材料
计算模拟
第一原理
量子化学
计算模拟
分子模拟
仿真模拟
程序语言
学术交流
论文投稿
基金申请
学术会议
出国留学
留学生活
公派出国
访问学者
海外博后
留学DIY
签证指南
出国考试
海外院所
注册执考
化工工程师
执业药师
执业医师
环境工程师
会计师
注册考试
24小时热帖
换一批
求个博导看看
17
青基代表作,AAAI之类的A会的special track在国内认可度高吗?还是归为workshop之流?
3
上海工程技术大学【激光智能制造】课题组招收硕士
6
带资进组求博导收留
11
自荐读博
5
应助之星
babero
+关注
tfang
+关注
下载小木虫APP
与700万科研达人随时交流
二维码
IOS
安卓
欢迎监督和反馈
:小木虫仅提供交流平台,不对该内容负责。
欢迎协助我们监督管理,共同维护互联网健康,违规贴举报删除请联系邮箱:xiaomuchong@tal.com
(点此查看侵权举报方式)
我们保证在7个工作日内给予处理和答复,谢谢您的监督。
©2001-2026 muchong.com,小木虫
京ICP备16008351号
京公网安备 11010802022153号
Copyright © 2001-2026 muchong.com, All Rights Reserved. 小木虫 版权所有