当前位置:小木虫首页 >> 论文投稿

请问nature上一篇comment的图是怎么处理得到的。

可爱熊001
现在发表sci需要数据和图片进行分析、处理和编辑。尤其是发表好杂志,图片布局和调整更重要。看到nature上一篇comment里的一幅图,很漂亮,想问问这个是怎么处理的。...
论文投稿
  • 1850
  • 37

投稿时图片上传后不清晰,怎么破?急急急

胡一恒
投稿要求图片至少300dpi,我的图片300dpi试了上传后不清晰,后来试了600dpi和1200dpi上传后因为不清晰,哪位大神知道这个问题怎么解决
论文投稿
  • 1050
  • 21

一审意见大修,二审接收的希望大不?如何回复意见?谢谢

tang410
Pleasefindappendedourreferees\'reportsonyourpaper;unfortunately,therefereesfeelthatadditionalchangesarenecessarybeforepublicationi...
论文投稿
  • 250
  • 5

IEEE TIE论文提交

小jia同学
想投IEEETIE期刊,但上面要求提交必须是text和art格式,用LaTeX软件,生成的是PDF格式,源文件是tex格式,每次提交都说格式错误,求大神请教CD.tmp....
论文投稿
  • 200
  • 4

安全与环境学报是c吗,外审通过率高吗

心碎的羊
安全与环境学报是c吗,外审通过率高吗
论文投稿
  • 500
  • 10

请问Samova怎么用?输入文件格式什么样的?

casperllll
请问Samova怎么用?输入文件格式什么样的?
论文投稿
  • 300
  • 6

每次文章投出去之后都好紧张,尤其是到decision in process

axj小童鞋
才做科研不久,感觉这种状态下什么也不想干,好烦
论文投稿
  • 250
  • 5

大修后稿件状态

绯安娜
论文大修之后提交,现在的状态是:ADM:NotAssignedUnderReviewEvaluatingRecommendation请问这是什么意思?谢谢!
论文投稿
  • 400
  • 8

二修,散金祈福

mmyinsect
大龄博士,文章二修半个月,一直未见结果,高人指点在此散金祈福,愿一切顺利。。。
论文投稿
  • 5800
  • 116

文章接收了,还没online,这个online日期怎么看出来?是issue date吗?

sucretbag
文章接收了,还没online,这个online日期怎么看出来?是issue date吗?
论文投稿
  • 350
  • 7

用自己的硕士论文素材重写小论文投稿被拒理由是学术不端,求指导

mizaomi
求助各位大神,本人将自己的硕士学位论文中的一部分素材提出来,经过全新的改写和重新分析,变成了一篇完整的小论文,欲投稿发表。然而目前已经被两家学报拒稿,告知学术不端超过用稿...
论文投稿
  • 2350
  • 47

投稿求助,大家帮帮忙呀

重拾奋斗
之前投了韩国人参杂志,整整拖了半年,最后被拒,现在只剩2个月就要毕业了,着急投稿。实验室买的皂苷单体,主要研究它的抗肿瘤作用然后我做了一些mtt,荧光,周期,细胞凋亡,做了一点凋亡机制细胞实验,然后动物实验就建模,给药,看肿瘤生长是否被抑制,然后做了HE染色,...
论文投稿
  • 450
  • 9

Taylor & Francis 下 ROAD MATERIALS AND PAVEMENT DESIGN 期刊格式?

selfstudy
1初次投JSV,被编辑拒绝了,改投ROADMATERIALSANDPAVEMENTDESIGN。网址“'https://mc.manuscriptcentral.com/rmpd#'”2我查了很久,就没有看到guidelines,请问Taylor&Fr...
论文投稿
  • 150
  • 3

Cover letter里的杂志名写错了

shenyufeng88
改投文章时忘了把coverletter里的杂志名改了,现在文章状态是reviewerinvited都20天了,请问有没有必要写信给编辑承认下自己在coverletter里的错误?
论文投稿
  • 200
  • 4

第一次投稿 编辑发来信看不懂 一个月了还没有消息 急·············

qqqwserzg
第一次投稿投的ChineseJournalofChemistry先是大修然后小修这些都很快投出去基本二十天左右就有消息了这次小修2月24投出去的很快就收到回执了23-Jan-2017DearProf.Wang,Yourmanuscriptentitled&qu...
论文投稿
  • 600
  • 12

RSC Advances出版费报销步骤

风之涯
RSCAdvances现在要收费请问有哪位大神知道怎么填写RSCAdvancesopenaccessinvoiceinformation吗?我们想通过导师的基金报销,具体步骤是什么样的啊?以前没弄过
论文投稿
  • 150
  • 3

投稿中文核心期刊多久才能收到消息呢

繁华落尽sha
请问大家投的中文核心,一般多久才会有消息呢?谢谢
论文投稿
  • 650
  • 13

physical review 系列 上传eps图片

liuqimin
准备投稿PRapplied,用word,要求图片插入文中,并且要单独上传eps所以我想问一下,可以将插入的图片用tif格式单独上传的用eps吗?因为eps直接插入文中,分辨率不高
论文投稿
  • 300
  • 6

散金求祝福论文能中

P01014154
散金求祝福论文能中
论文投稿
  • 5750
  • 115

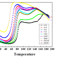
环糊精基聚氨酯发泡材料

小洋人?A
有做过环糊精发泡材料的同学吗。可以给我一点思路吗,谢谢!
论文投稿
  • 250
  • 5

工程科学学报投稿咨询

国哥爱科研
工程科学学报,修改后进入编辑审阅一般多久有消息?
论文投稿
  • 400
  • 8

origin作图中图线密集,如何处理

1486015325
origin作图问题:请教前辈们,当origin作图时图线挤到一起,如何设置才能让图变得好看(图中数据点较多,因为数据较少时在斜率迅速增加的部分会断开)后期还可追加金币,...
论文投稿
  • 1050
  • 21

LiS电池英文综述投稿期刊推荐

Gloria_0702
在国外交流时和几个同学写的英文综述,引用20多篇比较少,本人小硕一枚,导师也是放养,估计不能挂导师名字,想问哪个期刊比较合适?英文不好投我翻译中文也可以。谢谢大家
论文投稿
  • 350
  • 7

怎么给国外论文作者发邮件,

18304235669
怎么给国外论文作者发邮件,有什么方法和手段那?
论文投稿
  • 550
  • 11

求《仪器仪表学报》已发表论文的word版,网站论文模板没弄懂

summer_zl
求一篇已发表《仪器仪表学报》论文的word版,谢谢
论文投稿
  • 450
  • 9

系统工程与电子技术求助

holidayqi
有哪位大神投过系统工程与电子技术杂志的咩,来指导一下我这只小菜鸟。3.20投稿了一篇四旋翼无人机参数辨识方向的文章,3.24正式收稿,现在处于初选状态。本人现在研二,前一阶段的工作主要就是四旋翼参数辨识,发过一篇电光与控制,一篇EI收录的国际会议。也搞不清楚自...
论文投稿
  • 500
  • 10

投稿JOURNAL OF HYDROLOGY求助,十分感激

南湖居士
投稿JOURNALOFHYDROLOGY,投了一上午一直失败…求帮助(具体见截图)咨询一下大家这是什么原因,灰常感谢……1)`UA]YV7}WWY%`2TN]CN12.p...
论文投稿
  • 550
  • 11

期刊 Special Issue 投稿求助

byq123
大家好,最近想投一个SpecialIssue,但是又怕专刊的难度高。想问一下专刊有没有minorrevision和majorrevision,还是说专刊和会议一样,只有Accept和Reject.另外,专刊的论文如果没有直接Accept,会不会通过Revisi...
论文投稿
  • 350
  • 7
应助之星
下载小木虫APP
与700万科研达人随时交流
  • 二维码
  • IOS
  • 安卓