求助反应机理谢谢
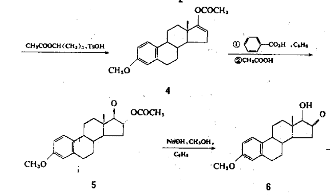
1:图1 4-5和5-6的机理
2:图2 119-120机理
3:图3 13到15和16的机理

甾体456.png

布洛芬.png

多取代吡咯.png

氯乙酸.png
返回小木虫查看更多
今日热帖
1:图1 4-5和5-6的机理
2:图2 119-120机理
3:图3 13到15和16的机理

甾体456.png

布洛芬.png

多取代吡咯.png

氯乙酸.png
返回小木虫查看更多
5-6是属于互变异构吗?
我觉得是
,