求助反应机理谢谢
问题1:图1和图2机理,无需文字描述,直接画出电子转移图即可谢谢。
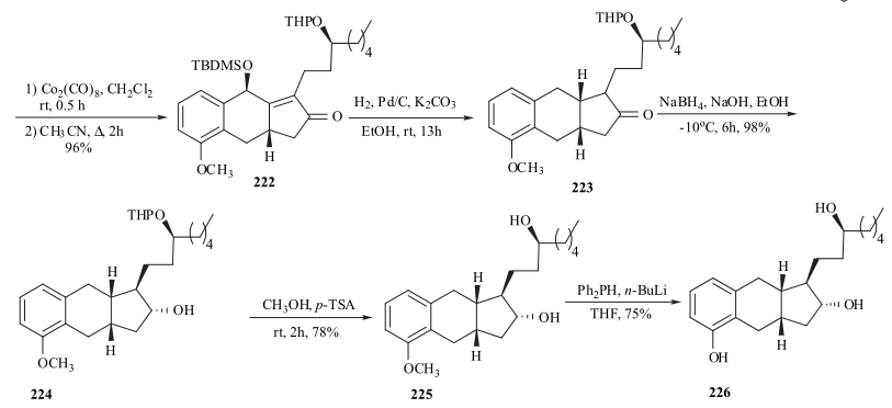
问题2:图3苄位-OH怎么脱除的化合物222-223?还有甲基脱除机理化合物225-226。

异硫氰酸酯.png

醛与炔在格氏试剂作用下反应.png

苄醇脱掉和氧甲基脱去.png
返回小木虫查看更多
今日热帖
问题1:图1和图2机理,无需文字描述,直接画出电子转移图即可谢谢。
问题2:图3苄位-OH怎么脱除的化合物222-223?还有甲基脱除机理化合物225-226。

异硫氰酸酯.png

醛与炔在格氏试剂作用下反应.png

苄醇脱掉和氧甲基脱去.png
返回小木虫查看更多
第一题和第二题,
画一个哈,
楼主参考。
222-223 看成苄位脱卤反应即可。
225-226 先生成 Ph2PLi。 然后Ph2P- 进攻甲基碳,苯酚离去。
222-223碳氧键怎么能和碳卤键一样呢?
把这里OTBDMS 看成OMs,活性虽然没OMs高,但是同样一定程度上拉长了C-O键,而且这里即是苄位又是烯丙位吧
,