第一小步的目的? 缩醛.png 返回小木虫查看更多
1 无标题0.png
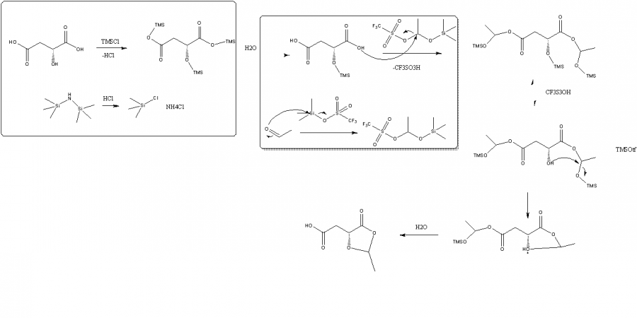
TMS2NH专业干这个,把羧酸转化成CO2TMS,OTMS更易离去,TMSCl是为了再生稳定的TMS2NH。同理,TMSOTf也是为了使离去的OTMS形成稳定的TMS2O。硅化学,是个宝藏。 1.jpg
1

无标题0.png
第一小步的目的
TMS2NH专业干这个,把羧酸转化成CO2TMS,OTMS更易离去,TMSCl是为了再生稳定的TMS2NH。同理,TMSOTf也是为了使离去的OTMS形成稳定的TMS2O。硅化学,是个宝藏。

1.jpg
多谢
你好,你的机理我有点困惑,向您请教学习一下。第一步醇羟基怎么好控制不上TMS,,还有羧基的OTMS极不稳定,甚至会被醇羟基取代或者淬灭的水取代,但是这个反应它又是分步的
,
没加碱,醇羟基上不了TMS,一般至少得用咪唑,才能成OTMS。分步,不一定要分离,也可能一锅往下做。很遗憾,类似反应我还没亲自做过,以后你有机会自己撸一遍就会有更深的体会。
多谢,新的领悟!