小木虫
登陆
|
注册
首页
导读
期刊
发现
社区
招聘老师
当前位置:
首页
>
有机
>
求助反应机理谢谢
求助反应机理谢谢
作者
kiss20085537
来源:
小木虫
550
11
举报帖子
+关注
求助反应机理谢谢
呋喃-2-羧酸关环.png
DMF-DMA.png
返回小木虫查看更多
分享至:
更多
今日热帖
1,6-烯炔的四...
大佬救命!
【Nat. Co...
喜树碱(CPT)...
光氧化还原催化攻...
乳液聚合表面有彩...
请教氰基水解,端...
合成对氨基偶氮苯
精华评论
hyacinth1944
hyacinth1944
hyacinth1944
引用回帖:
4楼
:
Originally posted by
江东闲人
at 2021-07-17 12:28:05
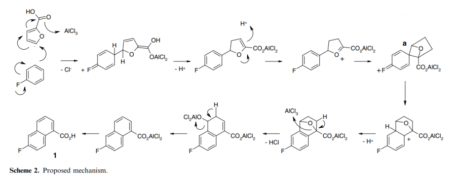
感觉形成那个四员环略牵强哈,
有没有可能呋喃氧和三氯化铝络合以后使杂环失去芳香性,和苯环发生一个D-A加成反应呢?然后再进行后续反应。
...
看一下文献:T. M. Kru¨lle et al. / Tetrahedron Letters 48 (2007) 1537–1540
kiss20085537
引用回帖:
4楼
:
Originally posted by
江东闲人
at 2021-07-17 12:28:05
感觉形成那个四员环略牵强哈,
有没有可能呋喃氧和三氯化铝络合以后使杂环失去芳香性,和苯环发生一个D-A加成反应呢?然后再进行后续反应。
...
1626507164(1).png
,
kiss20085537
引用回帖:
5楼
:
Originally posted by
hyacinth1944
at 2021-07-17 15:26:33
看一下文献:T. M. Kru¨lle et al. / Tetrahedron Letters 48 (2007) 1537–1540...
11
1
2
››
猜你喜欢
板块导航
网络生活
育儿交流
健康生活
有奖问答
资源共享
课件资源
试题资源
化学化工
有机
高分子
无机物化
分析
催化
工艺技术
化工设备
化工
精细化工
电化学
环境
专业学科
机械
物理
数学
农林
食品
地学
能源
信息科学
理工农林
科研生活
博后之家
专业外语
外语学习
导师招生
找工作
招聘信息
考研
考博
公务员
生物医药
新药研发
药学
药品生产
分子生物
微生物
动植物
生物科学
医学
材料
材料
材料工程
微米纳米
晶体
金属
非金属
生物材料
功能材料
复合材料
计算模拟
第一原理
量子化学
计算模拟
分子模拟
仿真模拟
程序语言
学术交流
论文投稿
基金申请
学术会议
出国留学
留学生活
公派出国
访问学者
海外博后
留学DIY
签证指南
出国考试
海外院所
注册执考
化工工程师
执业药师
执业医师
环境工程师
会计师
注册考试
24小时热帖
换一批
康复大学泰山学者周祺惠团队招收博士研究生
6
AI论文写作工具:是科研加速器还是学术作弊器?
3
孩子确诊有中度注意力缺陷
6
2026博士申请-功能高分子,水凝胶方向
6
论文投稿,期刊推荐
4
应助之星
sinubi
+关注
donkey2014
+关注
北京莱茵润色
+关注
我想更懂你29
+关注
下载小木虫APP
与700万科研达人随时交流
二维码
IOS
安卓
欢迎监督和反馈
:小木虫仅提供交流平台,不对该内容负责。
欢迎协助我们监督管理,共同维护互联网健康,违规贴举报删除请联系邮箱:xiaomuchong@tal.com
(点此查看侵权举报方式)
我们保证在7个工作日内给予处理和答复,谢谢您的监督。
©2001-2025 muchong.com,小木虫
京ICP备16008351号
京公网安备 11010802022153号
Copyright © 2001-2025 muchong.com, All Rights Reserved. 小木虫 版权所有
看一下文献:T. M. Kru¨lle et al. / Tetrahedron Letters 48 (2007) 1537–1540
1626507164(1).png
,