小木虫
登陆
|
注册
首页
导读
期刊
发现
社区
招聘老师
当前位置:
首页
>
有机
>
磷酸酯水解问题
磷酸酯水解问题
作者
sybydb
来源:
小木虫
550
11
举报帖子
+关注
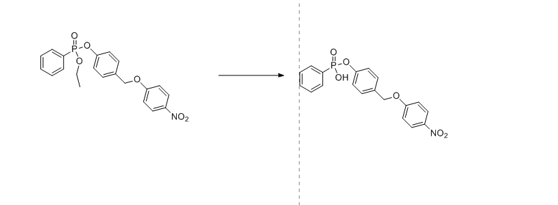
请问下面这个磷酸酯要怎么水解啊?用过了碘代三甲硅烷,好像断掉的是醚键,用溴代三甲硅烷也是如此。求助
tupianAD.jpg
tupian.jpg
返回小木虫查看更多
分享至:
更多
今日热帖
甘油磷酸胆碱和去...
喜树碱(CPT)...
合成对氨基偶氮苯
请教氰基水解,端...
吡嗪2,3-二硒...
关于ATRP文献...
OTIPS 炔烃...
酰胺合成反应求助
精华评论
encryption
。
西非咸鱼
不知道碱水解怎么样哈。
,
ttping2004
。
11
1
2
››
猜你喜欢
板块导航
网络生活
育儿交流
健康生活
有奖问答
资源共享
课件资源
试题资源
化学化工
有机
高分子
无机物化
分析
催化
工艺技术
化工设备
化工
精细化工
电化学
环境
专业学科
机械
物理
数学
农林
食品
地学
能源
信息科学
理工农林
科研生活
博后之家
专业外语
外语学习
导师招生
找工作
招聘信息
考研
考博
公务员
生物医药
新药研发
药学
药品生产
分子生物
微生物
动植物
生物科学
医学
材料
材料
材料工程
微米纳米
晶体
金属
非金属
生物材料
功能材料
复合材料
计算模拟
第一原理
量子化学
计算模拟
分子模拟
仿真模拟
程序语言
学术交流
论文投稿
基金申请
学术会议
出国留学
留学生活
公派出国
访问学者
海外博后
留学DIY
签证指南
出国考试
海外院所
注册执考
化工工程师
执业药师
执业医师
环境工程师
会计师
注册考试
24小时热帖
换一批
生物学学硕求调剂
10
上海电力大学材料防护与新材料重点实验室招收调剂研究生(材料、化学、电化学,环境)
4
材料学求调剂
6
303求调剂
5
一志愿武理085500机械专业总分300求调剂
7
应助之星
czyzsu
+关注
yutx2425
+关注
88817753
+关注
下载小木虫APP
与700万科研达人随时交流
二维码
IOS
安卓
欢迎监督和反馈
:小木虫仅提供交流平台,不对该内容负责。
欢迎协助我们监督管理,共同维护互联网健康,违规贴举报删除请联系邮箱:xiaomuchong@tal.com
(点此查看侵权举报方式)
我们保证在7个工作日内给予处理和答复,谢谢您的监督。
©2001-2026 muchong.com,小木虫
京ICP备16008351号
京公网安备 11010802022153号
Copyright © 2001-2026 muchong.com, All Rights Reserved. 小木虫 版权所有
。
不知道碱水解怎么样哈。
,
。